mp-570084/Hg3AsSe4I/anharm

Harmonic properties

../../_images/fig_bandos_pr7097.png

(a) Phonon dispersion with participation ratio and DOS

../../_images/fig_thermo7097.png

(b) Thermodynamic properties

Grüneisen parameters

../../_images/fig_gru_all2964.png

(a) Grüneisen parameters

../../_images/fig_gruneisen2964.png

(b) Phonon dispersion with Grüneisen parameters

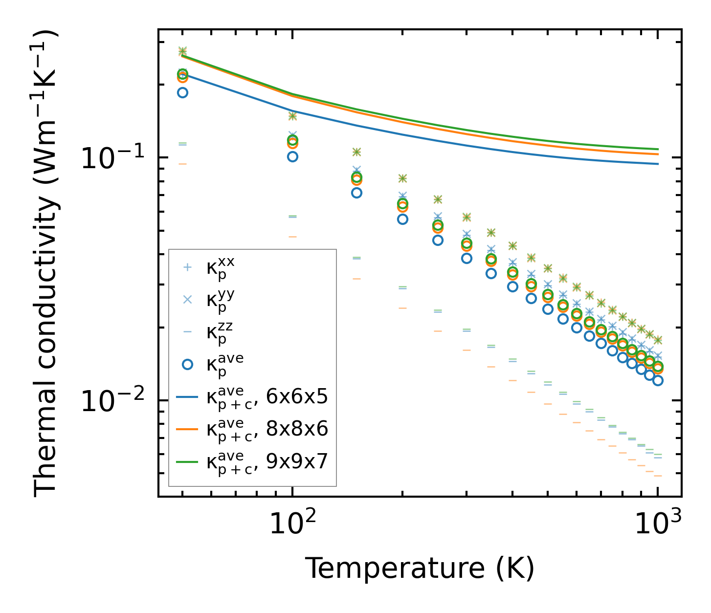
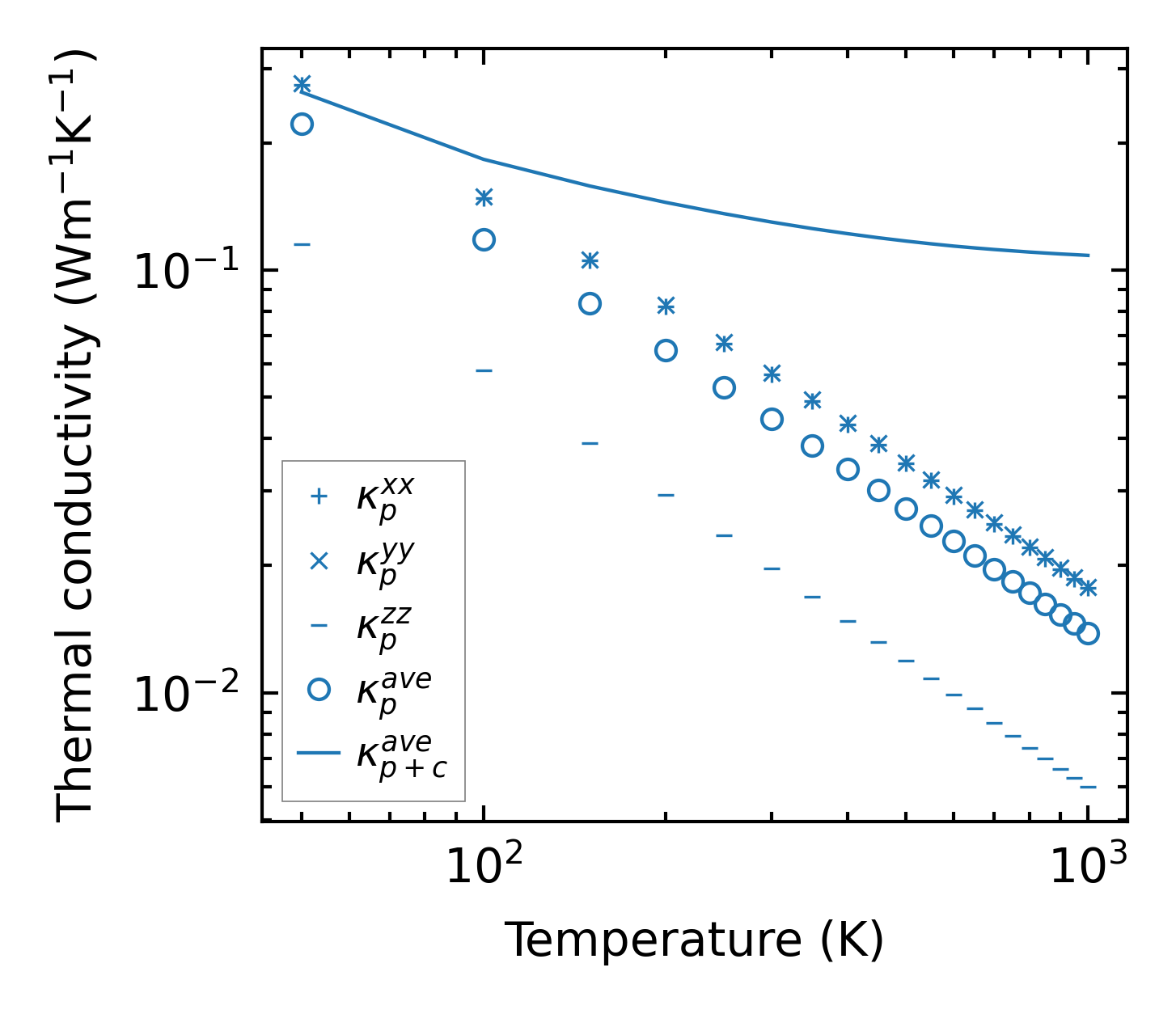
Thermal conductivity

3-phonon (LASSO) — q-mesh: 9x9x7, supercell: 2x2x2

../../_images/fig_kappa5621.png

(a) Temperature-dependent lattice thermal conductivity

../../_images/fig_kappa_vs_grain_size3006.png

(b) Peierls lattice thermal conductivity w.r.t grain size

Phonon lifetime and scattering rates

../../_images/fig_lifetime2939.png

(a) Phonon lifetime due to phonon-phonon scattering

../../_images/fig_scat_rates2938.png

(b) Phonon scattering rates

Cumulative and spectral thermal conductivity

../../_images/fig_cumu_frequency2939.png

(a) Spectral and cumulative thermal conductivity w.r.t frequency

../../_images/fig_cumu_mfp2938.png

(b) Spectral and cumulative thermal conductivity w.r.t MFP

Force constants

../../_images/fig_fc26871.png

(a) Force constants w.r.t atomic distance

Summary

../../_images/fig_kappa5622.png

(a) Temperature-dependent lattice thermal conductivity

../../_images/fig_times12658.png

(b) Computation time