mp-570566/Rb5TaTl2As4/anharm

Harmonic properties

../../_images/fig_bandos_pr6829.png

(a) Phonon dispersion with participation ratio and DOS

../../_images/fig_thermo6829.png

(b) Thermodynamic properties

Grüneisen parameters

../../_images/fig_gru_all2813.png

(a) Grüneisen parameters

../../_images/fig_gruneisen2813.png

(b) Phonon dispersion with Grüneisen parameters

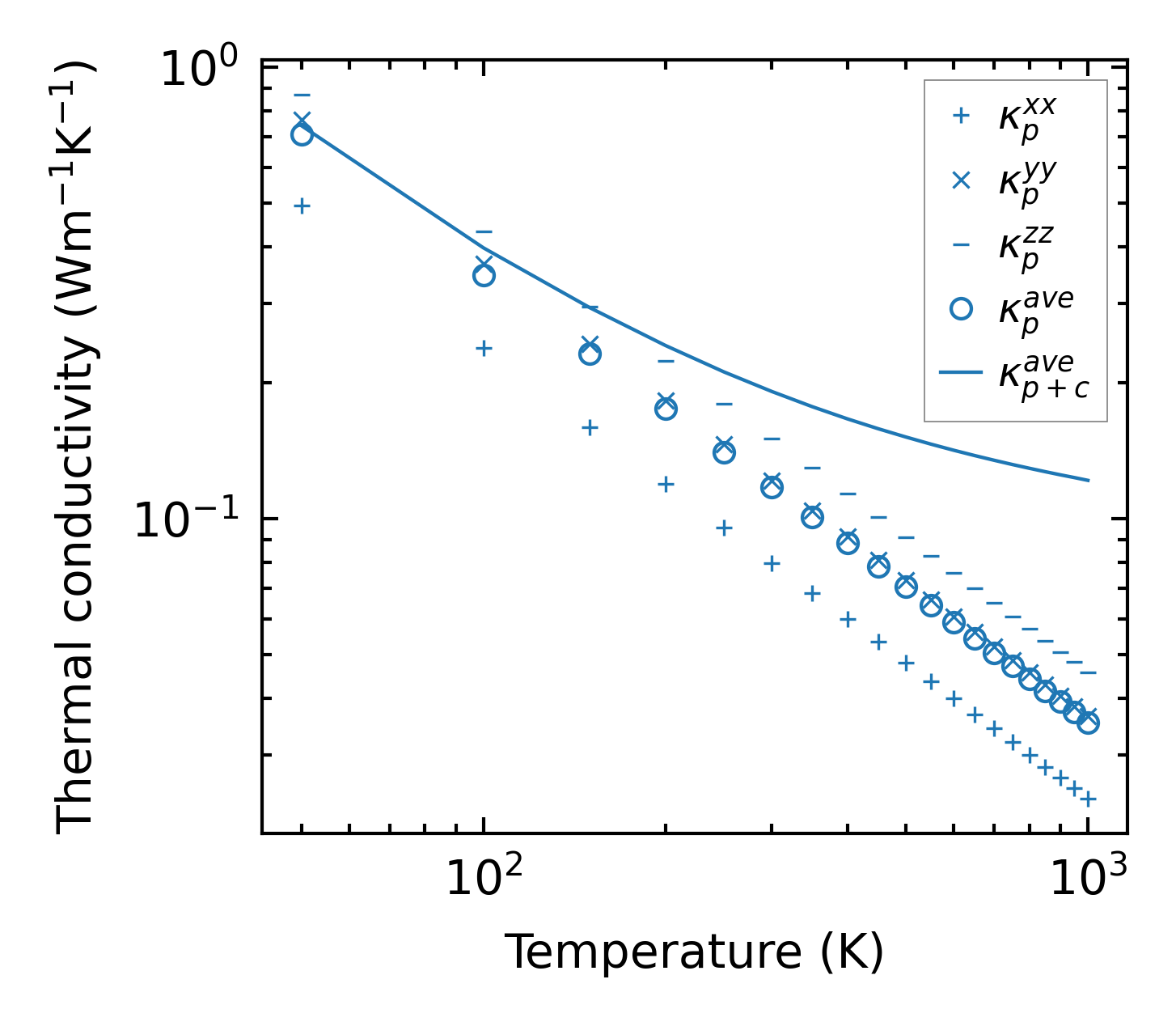
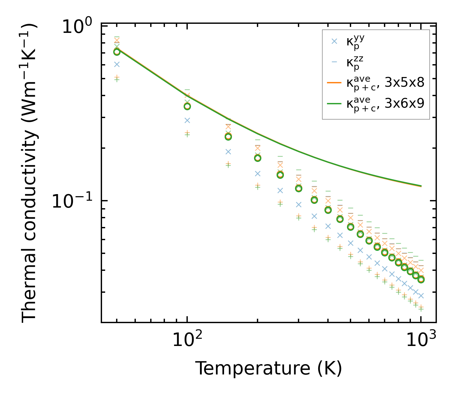
Thermal conductivity

3-phonon (LASSO) — q-mesh: 3x6x9, supercell: 1x1x2

../../_images/fig_kappa5342.png

(a) Temperature-dependent lattice thermal conductivity

../../_images/fig_kappa_vs_grain_size2854.png

(b) Peierls lattice thermal conductivity w.r.t grain size

Phonon lifetime and scattering rates

../../_images/fig_lifetime2789.png

(a) Phonon lifetime due to phonon-phonon scattering

../../_images/fig_scat_rates2788.png

(b) Phonon scattering rates

Cumulative and spectral thermal conductivity

../../_images/fig_cumu_frequency2789.png

(a) Spectral and cumulative thermal conductivity w.r.t frequency

../../_images/fig_cumu_mfp2788.png

(b) Spectral and cumulative thermal conductivity w.r.t MFP

Force constants

../../_images/fig_fc26614.png

(a) Force constants w.r.t atomic distance

Summary

../../_images/fig_kappa5343.png

(a) Temperature-dependent lattice thermal conductivity

../../_images/fig_times12251.png

(b) Computation time