mp-570645/Ca2Si5N8/anharm

Harmonic properties

../../_images/fig_bandos_pr6847.png

(a) Phonon dispersion with participation ratio and DOS

../../_images/fig_thermo6847.png

(b) Thermodynamic properties

Grüneisen parameters

../../_images/fig_gru_all2820.png

(a) Grüneisen parameters

../../_images/fig_gruneisen2820.png

(b) Phonon dispersion with Grüneisen parameters

Thermal conductivity

3-phonon (LASSO) — q-mesh: 7x5x6, supercell: 1x1x1

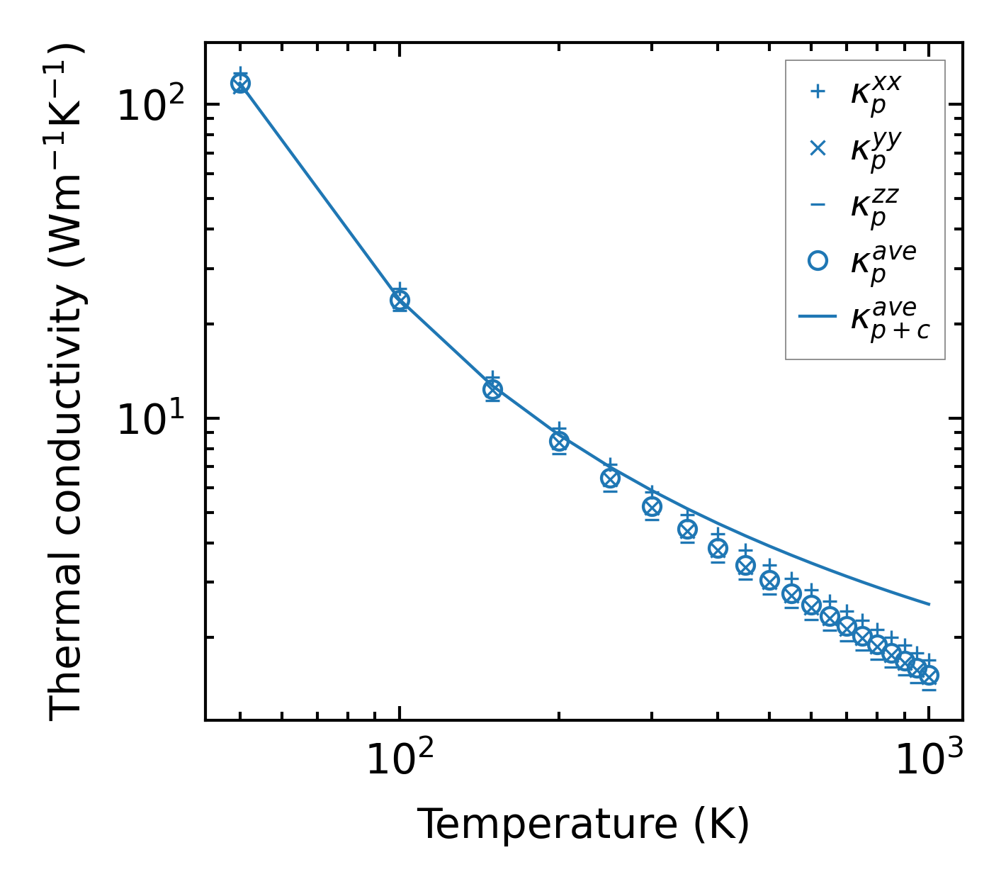
../../_images/fig_kappa5354.png

(a) Temperature-dependent lattice thermal conductivity

../../_images/fig_kappa_vs_grain_size2861.png

(b) Peierls lattice thermal conductivity w.r.t grain size

Phonon lifetime and scattering rates

../../_images/fig_lifetime2796.png

(a) Phonon lifetime due to phonon-phonon scattering

../../_images/fig_scat_rates2795.png

(b) Phonon scattering rates

Cumulative and spectral thermal conductivity

../../_images/fig_cumu_frequency2796.png

(a) Spectral and cumulative thermal conductivity w.r.t frequency

../../_images/fig_cumu_mfp2795.png

(b) Spectral and cumulative thermal conductivity w.r.t MFP

Force constants

../../_images/fig_fc26631.png

(a) Force constants w.r.t atomic distance

Summary

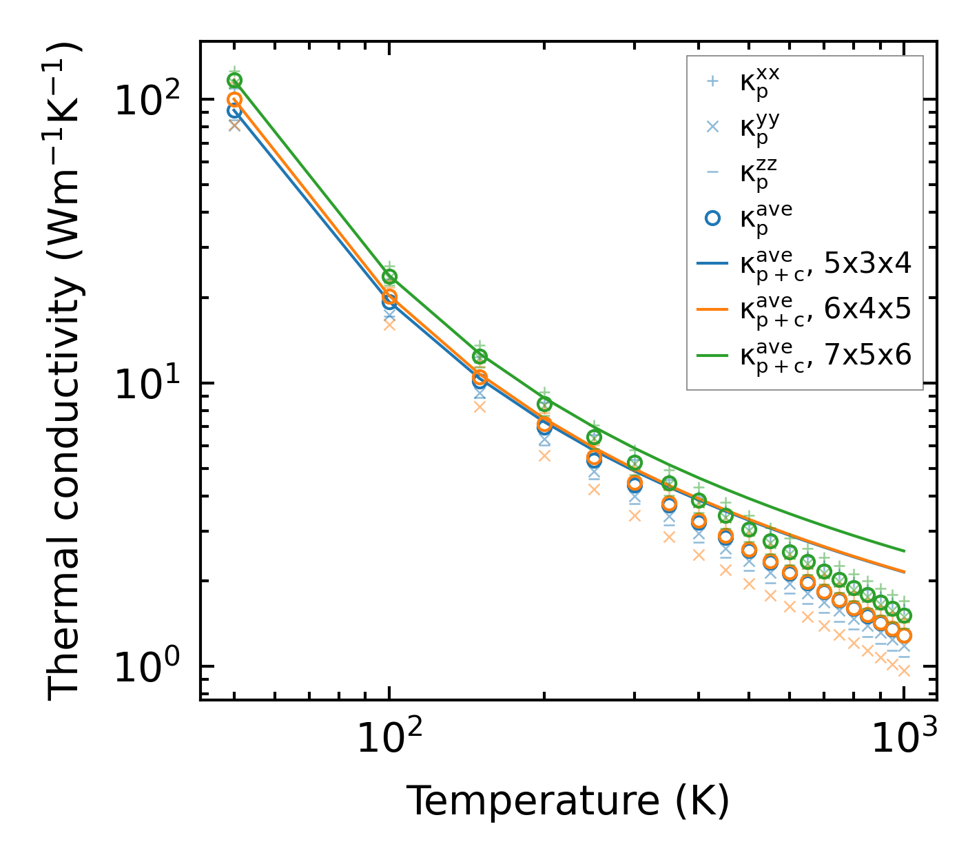
../../_images/fig_kappa5355.png

(a) Temperature-dependent lattice thermal conductivity

../../_images/fig_times12279.png

(b) Computation time