mp-570423/Ba6Pr3I19/anharm

Harmonic properties

../../_images/fig_bandos_pr6806.png

(a) Phonon dispersion with participation ratio and DOS

../../_images/fig_thermo6806.png

(b) Thermodynamic properties

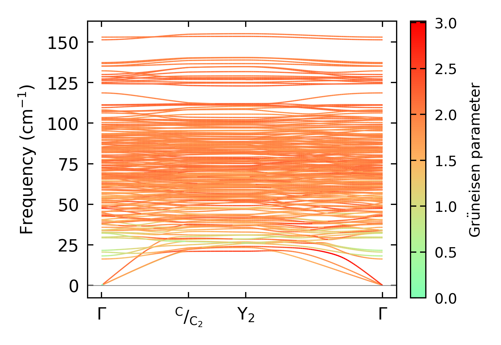
Grüneisen parameters

../../_images/fig_gru_all2798.png

(a) Grüneisen parameters

../../_images/fig_gruneisen2798.png

(b) Phonon dispersion with Grüneisen parameters

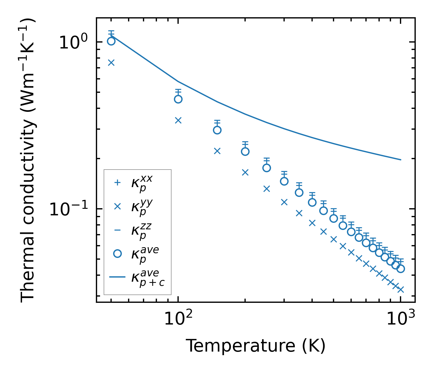
Thermal conductivity

3-phonon (LASSO) — q-mesh: 7x7x3, supercell: 1x1x1

../../_images/fig_kappa5316.png

(a) Temperature-dependent lattice thermal conductivity

../../_images/fig_kappa_vs_grain_size2839.png

(b) Peierls lattice thermal conductivity w.r.t grain size

Phonon lifetime and scattering rates

../../_images/fig_lifetime2774.png

(a) Phonon lifetime due to phonon-phonon scattering

../../_images/fig_scat_rates2773.png

(b) Phonon scattering rates

Cumulative and spectral thermal conductivity

../../_images/fig_cumu_frequency2774.png

(a) Spectral and cumulative thermal conductivity w.r.t frequency

../../_images/fig_cumu_mfp2773.png

(b) Spectral and cumulative thermal conductivity w.r.t MFP

Force constants

../../_images/fig_fc26591.png

(a) Force constants w.r.t atomic distance

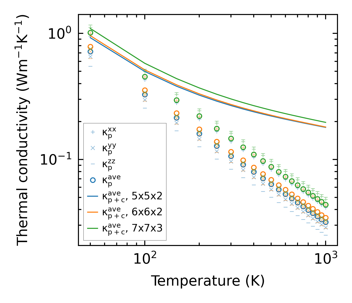
Summary

../../_images/fig_kappa5317.png

(a) Temperature-dependent lattice thermal conductivity

../../_images/fig_times12213.png

(b) Computation time