mp-570607-2/Dy5C2I9/anharm

Equation of state

../../_images/fig_bm3658.png

(a) Equation of state

Harmonic properties

../../_images/fig_bandos_pr6843.png

(a) Phonon dispersion with participation ratio and DOS

../../_images/fig_bandos9805.png

(b) Phonon dispersion and DOS

../../_images/fig_thermo6843.png

(c) Thermodynamic properties

Grüneisen parameters

../../_images/fig_gru_all2817.png

(a) Grüneisen parameters

../../_images/fig_gruneisen2817.png

(b) Phonon dispersion with Grüneisen parameters

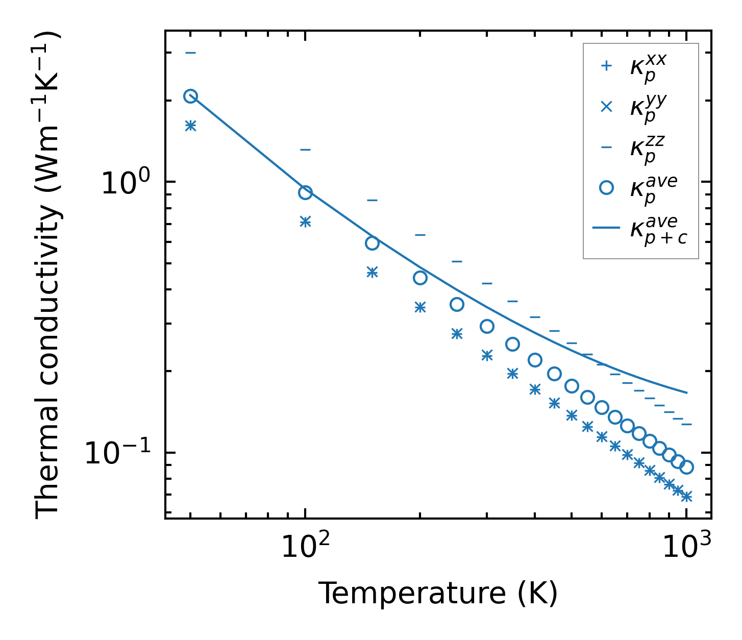
Thermal conductivity

3-phonon (LASSO), supercell 2x1x2 — q-mesh: 7x4x5, supercell: 2x1x2

../../_images/fig_kappa5349.png

(a) Temperature-dependent lattice thermal conductivity

../../_images/fig_kappa_vs_grain_size2858.png

(b) Peierls lattice thermal conductivity w.r.t grain size

Phonon lifetime and scattering rates

../../_images/fig_lifetime2793.png

(a) Phonon lifetime due to phonon-phonon scattering

../../_images/fig_scat_rates2792.png

(b) Phonon scattering rates

Cumulative and spectral thermal conductivity

../../_images/fig_cumu_frequency2793.png

(a) Spectral and cumulative thermal conductivity w.r.t frequency

../../_images/fig_cumu_mfp2792.png

(b) Spectral and cumulative thermal conductivity w.r.t MFP

Force constants

../../_images/fig_fc26627.png

(a) Force constants w.r.t atomic distance

Summary

../../_images/fig_times12268.png

(a) Computation time