mp-555990/Er2SiSO4/anharm

Harmonic properties

../../_images/fig_bandos_pr8728.png

(a) Phonon dispersion with participation ratio and DOS

../../_images/fig_thermo8728.png

(b) Thermodynamic properties

Grüneisen parameters

../../_images/fig_gru_all3523.png

(a) Grüneisen parameters

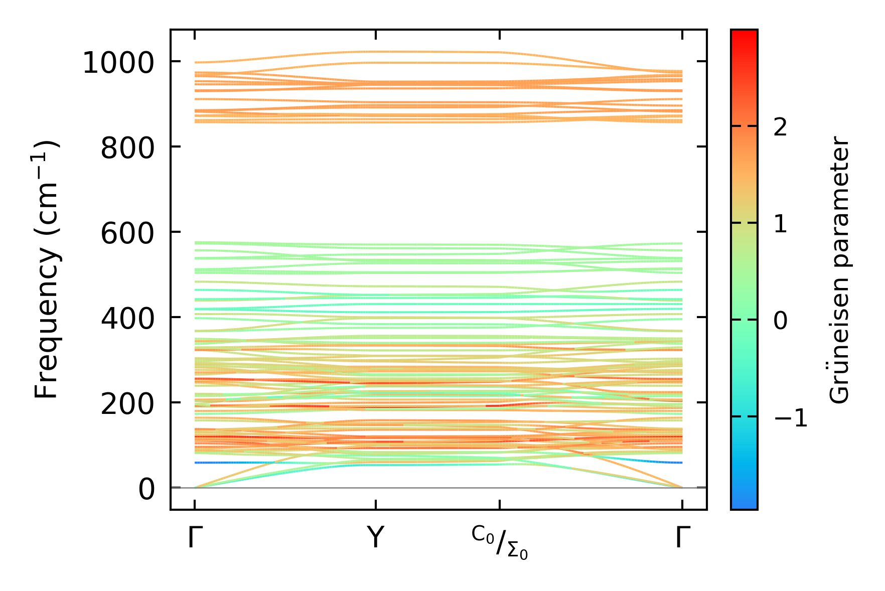
../../_images/fig_gruneisen3523.png

(b) Phonon dispersion with Grüneisen parameters

Thermal conductivity

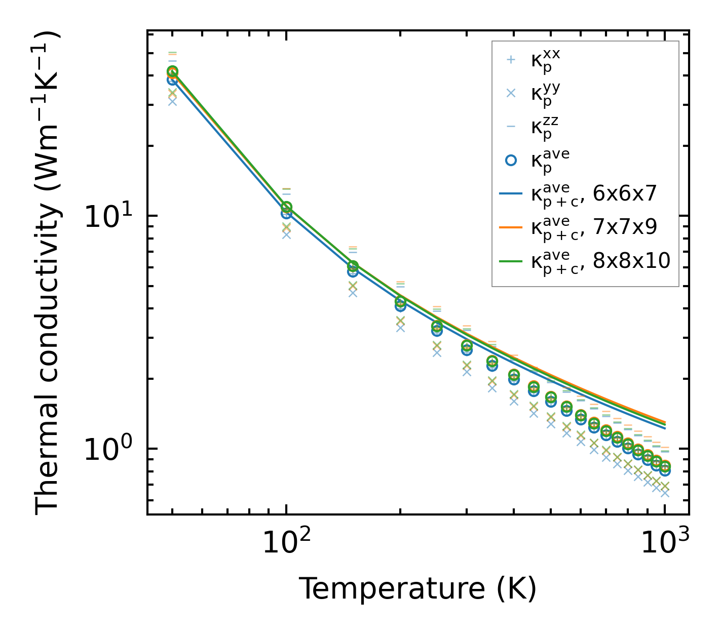
3-phonon (LASSO) — q-mesh: 8x8x10, supercell: 1x1x2

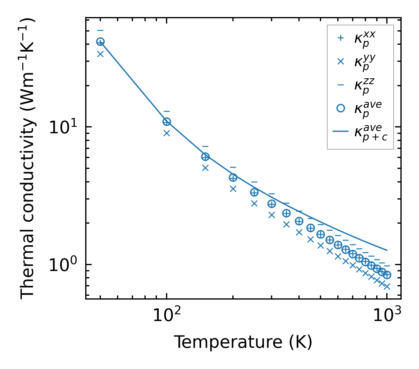
../../_images/fig_kappa6661.png

(a) Temperature-dependent lattice thermal conductivity

../../_images/fig_kappa_vs_grain_size3567.png

(b) Peierls lattice thermal conductivity w.r.t grain size

Phonon lifetime and scattering rates

../../_images/fig_lifetime3490.png

(a) Phonon lifetime due to phonon-phonon scattering

../../_images/fig_scat_rates3489.png

(b) Phonon scattering rates

Cumulative and spectral thermal conductivity

../../_images/fig_cumu_frequency3490.png

(a) Spectral and cumulative thermal conductivity w.r.t frequency

../../_images/fig_cumu_mfp3489.png

(b) Spectral and cumulative thermal conductivity w.r.t MFP

Force constants

../../_images/fig_fc28489.png

(a) Force constants w.r.t atomic distance

Summary

../../_images/fig_kappa6662.png

(a) Temperature-dependent lattice thermal conductivity

../../_images/fig_times15292.png

(b) Computation time