mp-555184-2/SmTiClO3/anharm

Equation of state

../../_images/fig_bm4475.png

(a) Equation of state

Harmonic properties

../../_images/fig_bandos_pr8864.png

(a) Phonon dispersion with participation ratio and DOS

../../_images/fig_bandos12497.png

(b) Phonon dispersion and DOS

../../_images/fig_thermo8864.png

(c) Thermodynamic properties

Grüneisen parameters

../../_images/fig_gru_all3562.png

(a) Grüneisen parameters

../../_images/fig_gruneisen3562.png

(b) Phonon dispersion with Grüneisen parameters

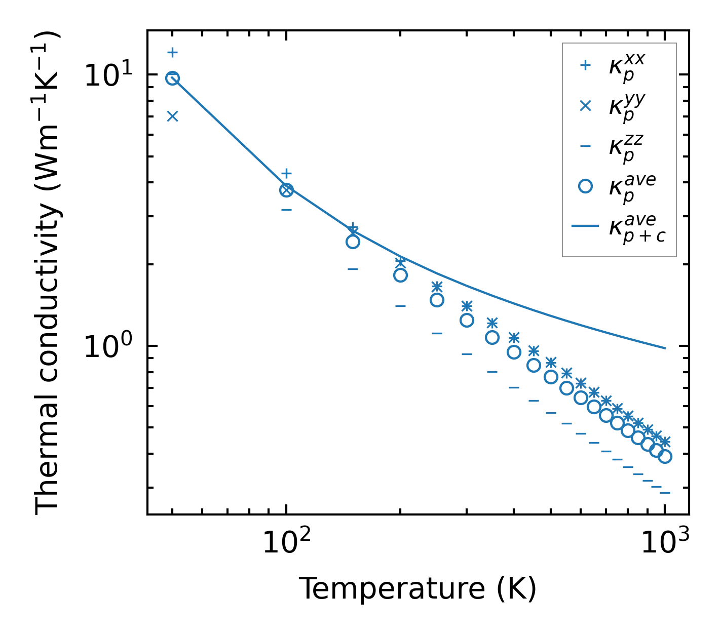
Thermal conductivity

3-phonon (LASSO), supercell 2x3x2 — q-mesh: 15x15x8, supercell: 2x3x2

../../_images/fig_kappa6732.png

(a) Temperature-dependent lattice thermal conductivity

../../_images/fig_kappa_vs_grain_size3607.png

(b) Peierls lattice thermal conductivity w.r.t grain size

Phonon lifetime and scattering rates

../../_images/fig_lifetime3529.png

(a) Phonon lifetime due to phonon-phonon scattering

../../_images/fig_scat_rates3528.png

(b) Phonon scattering rates

Cumulative and spectral thermal conductivity

../../_images/fig_cumu_frequency3529.png

(a) Spectral and cumulative thermal conductivity w.r.t frequency

../../_images/fig_cumu_mfp3528.png

(b) Spectral and cumulative thermal conductivity w.r.t MFP

Force constants

../../_images/fig_fc28625.png

(a) Force constants w.r.t atomic distance

Summary

../../_images/fig_times15549.png

(a) Computation time