mp-555002-2/LiEr2S2O8F3/harm
- Space group: Pbcn (60)
- Link: Materials Project
- Download: mp-555002-2.tar.gz
Equation of state
(a) Equation of state
Harmonic properties
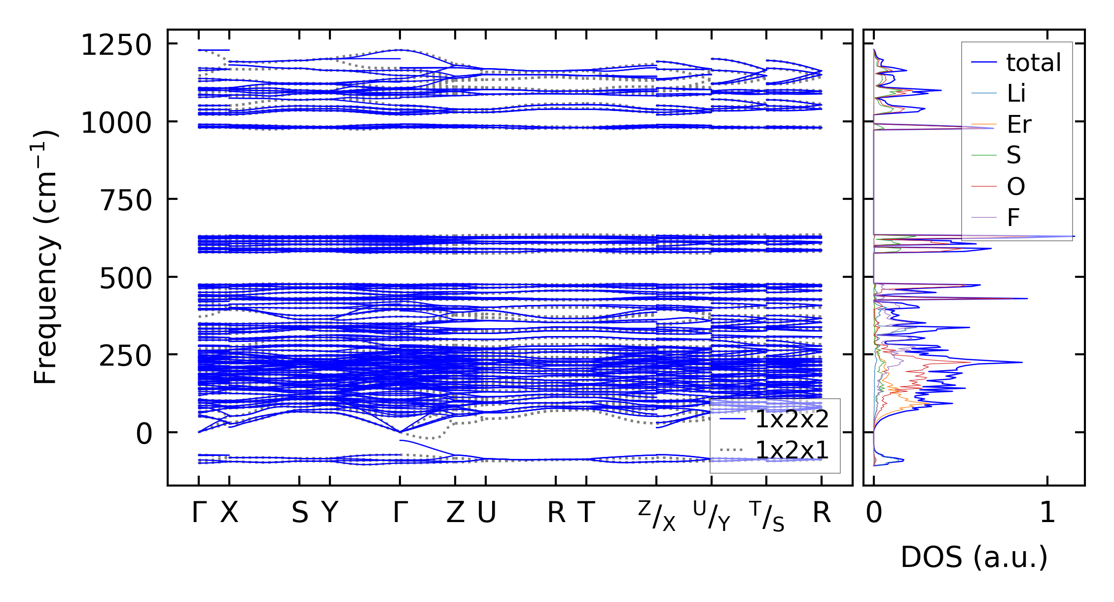
(a) Phonon dispersion and DOS
Summary
(a) Computation time
(a) Equation of state
(a) Phonon dispersion and DOS
(a) Computation time