mp-555495/K3YB2O6/anharm

Harmonic properties

../../_images/fig_bandos_pr8622.png

(a) Phonon dispersion with participation ratio and DOS

../../_images/fig_thermo8622.png

(b) Thermodynamic properties

Grüneisen parameters

../../_images/fig_gru_all3496.png

(a) Grüneisen parameters

../../_images/fig_gruneisen3496.png

(b) Phonon dispersion with Grüneisen parameters

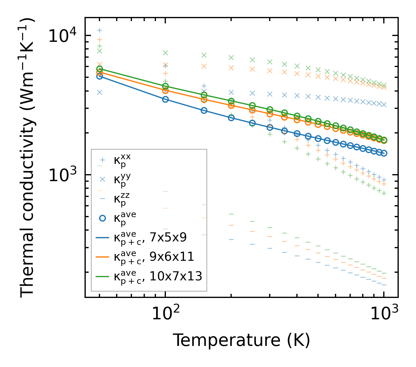
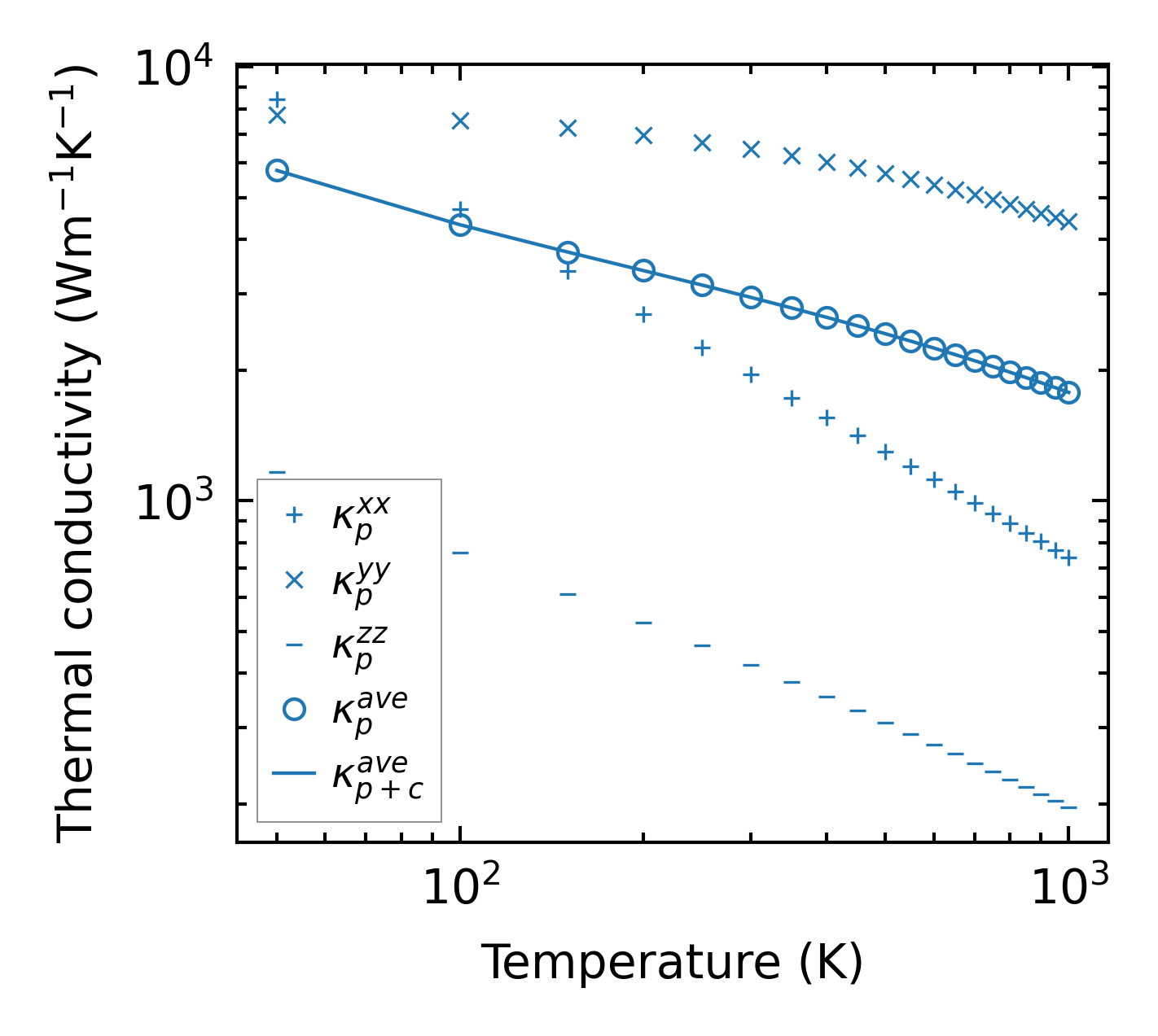
Thermal conductivity

3-phonon (LASSO) — q-mesh: 10x7x13, supercell: 2x1x2

../../_images/fig_kappa6612.png

(a) Temperature-dependent lattice thermal conductivity

../../_images/fig_kappa_vs_grain_size3540.png

(b) Peierls lattice thermal conductivity w.r.t grain size

Phonon lifetime and scattering rates

../../_images/fig_lifetime3463.png

(a) Phonon lifetime due to phonon-phonon scattering

../../_images/fig_scat_rates3462.png

(b) Phonon scattering rates

Cumulative and spectral thermal conductivity

../../_images/fig_cumu_frequency3463.png

(a) Spectral and cumulative thermal conductivity w.r.t frequency

../../_images/fig_cumu_mfp3462.png

(b) Spectral and cumulative thermal conductivity w.r.t MFP

Force constants

../../_images/fig_fc28383.png

(a) Force constants w.r.t atomic distance

Summary

../../_images/fig_kappa6613.png

(a) Temperature-dependent lattice thermal conductivity

../../_images/fig_times15122.png

(b) Computation time