mp-555843-2/Ag3AsS3/harm

Equation of state

../../_images/fig_bm4383.png

(a) Equation of state

Harmonic properties

../../_images/fig_bandos_pr8686.png

(a) Phonon dispersion with participation ratio and DOS

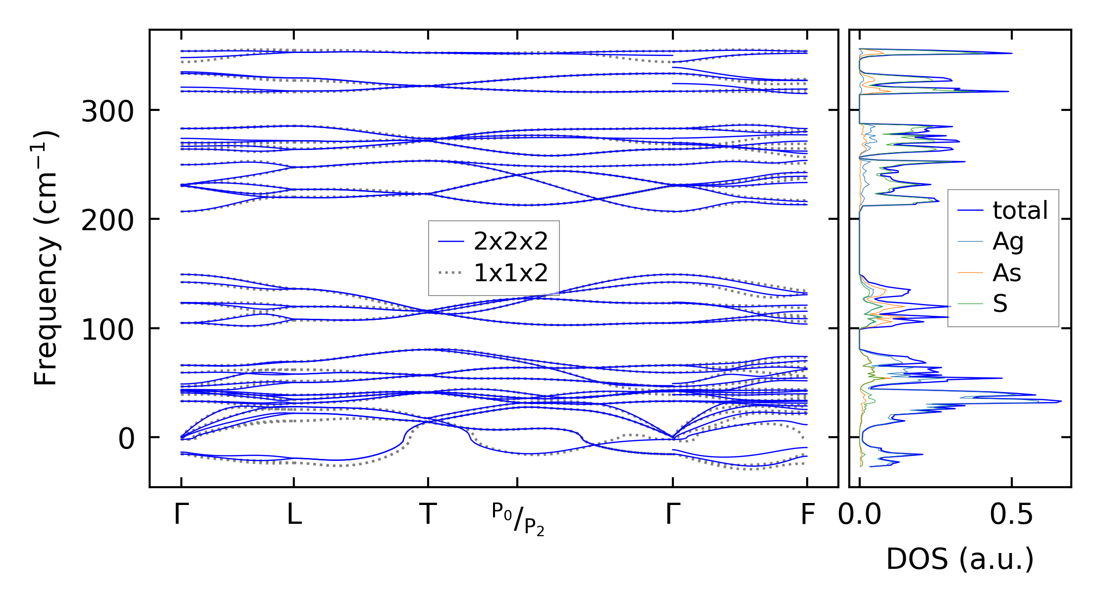
../../_images/fig_bandos12209.png

(b) Phonon dispersion and DOS

../../_images/fig_thermo8686.png

(c) Thermodynamic properties

Force constants

../../_images/fig_fc28447.png

(a) Force constants w.r.t atomic distance

Summary

../../_images/fig_times15223.png

(a) Computation time