mp-555410-2/ZnS/harm

Equation of state

../../_images/fig_bm4354.png

(a) Equation of state

Harmonic properties

../../_images/fig_bandos_pr8605.png

(a) Phonon dispersion with participation ratio and DOS

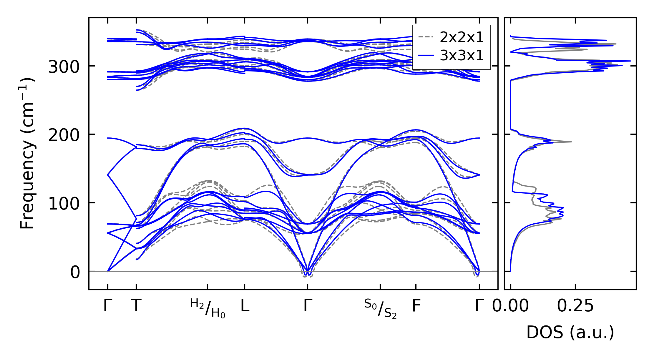
../../_images/fig_bandos12102.png

(b) Phonon dispersion and DOS

../../_images/fig_thermo8605.png

(c) Thermodynamic properties

Force constants

../../_images/fig_fc28366.png

(a) Force constants w.r.t atomic distance

Summary

../../_images/fig_times15098.png

(a) Computation time