mp-555972/KCN3O6/harm

Harmonic properties

../../_images/fig_bandos_pr8718.png

(a) Phonon dispersion with participation ratio and DOS

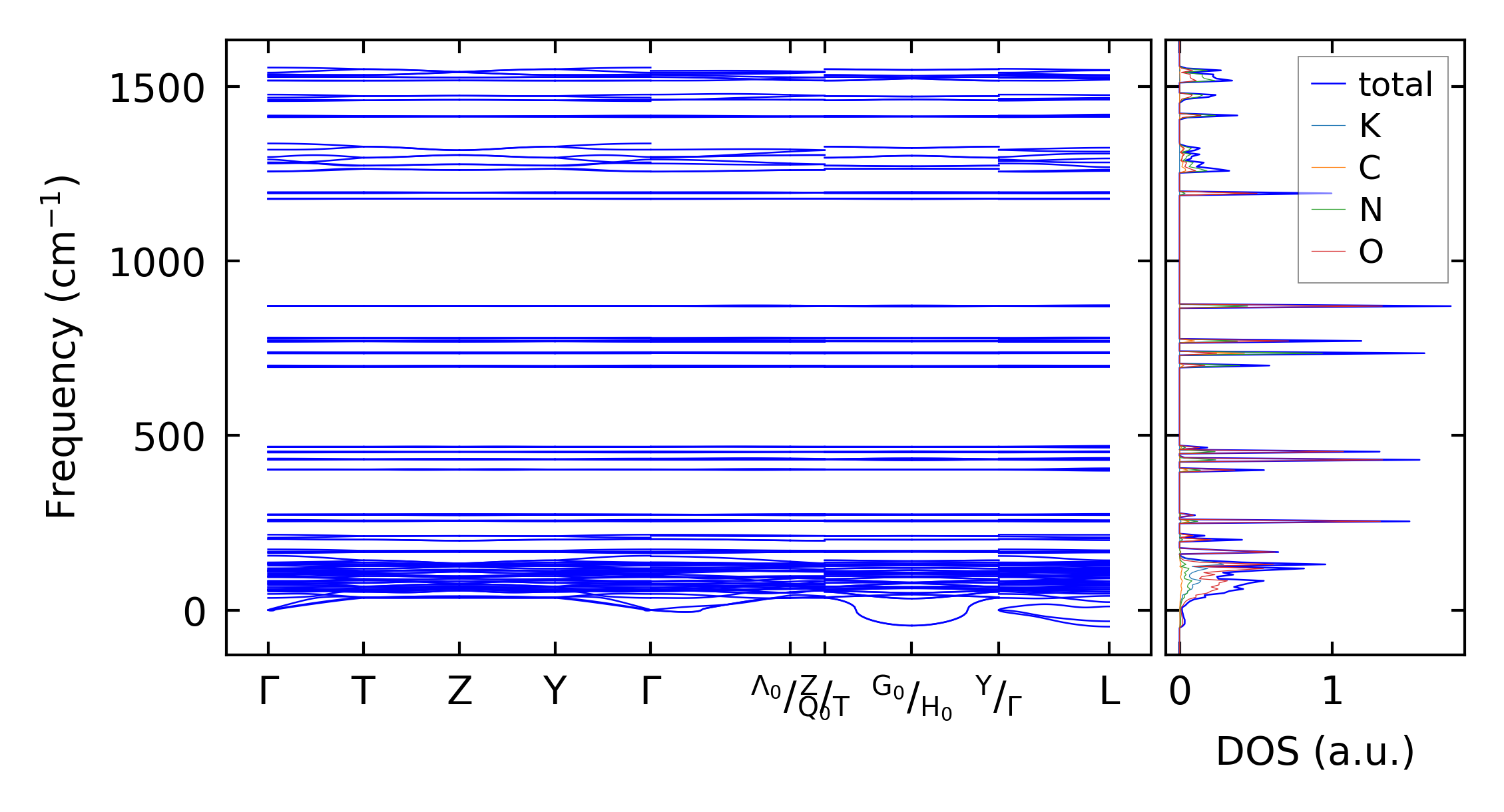
../../_images/fig_bandos12255.png

(b) Phonon dispersion and DOS

../../_images/fig_thermo8718.png

(c) Thermodynamic properties

Force constants

../../_images/fig_fc28479.png

(a) Force constants w.r.t atomic distance

Summary

../../_images/fig_times15276.png

(a) Computation time