mp-555089/SrLi4CaSi2O8/anharm

Harmonic properties

../../_images/fig_bandos_pr8838.png

(a) Phonon dispersion with participation ratio and DOS

../../_images/fig_thermo8838.png

(b) Thermodynamic properties

Grüneisen parameters

../../_images/fig_gru_all3554.png

(a) Grüneisen parameters

../../_images/fig_gruneisen3554.png

(b) Phonon dispersion with Grüneisen parameters

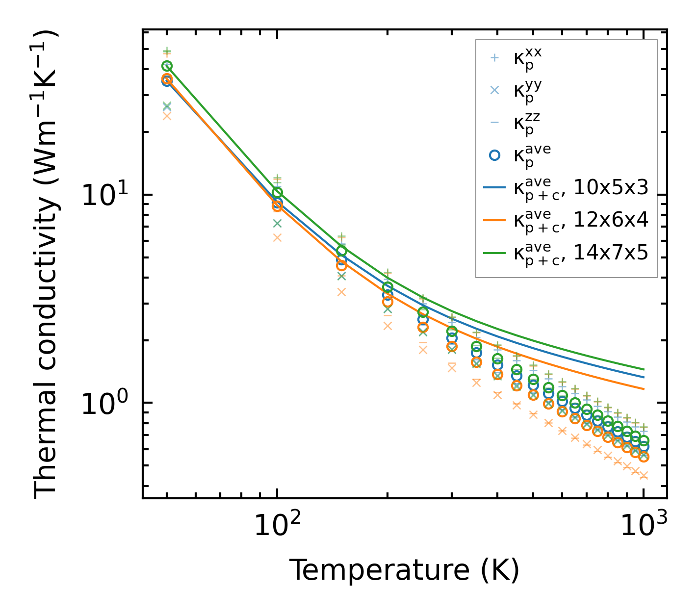
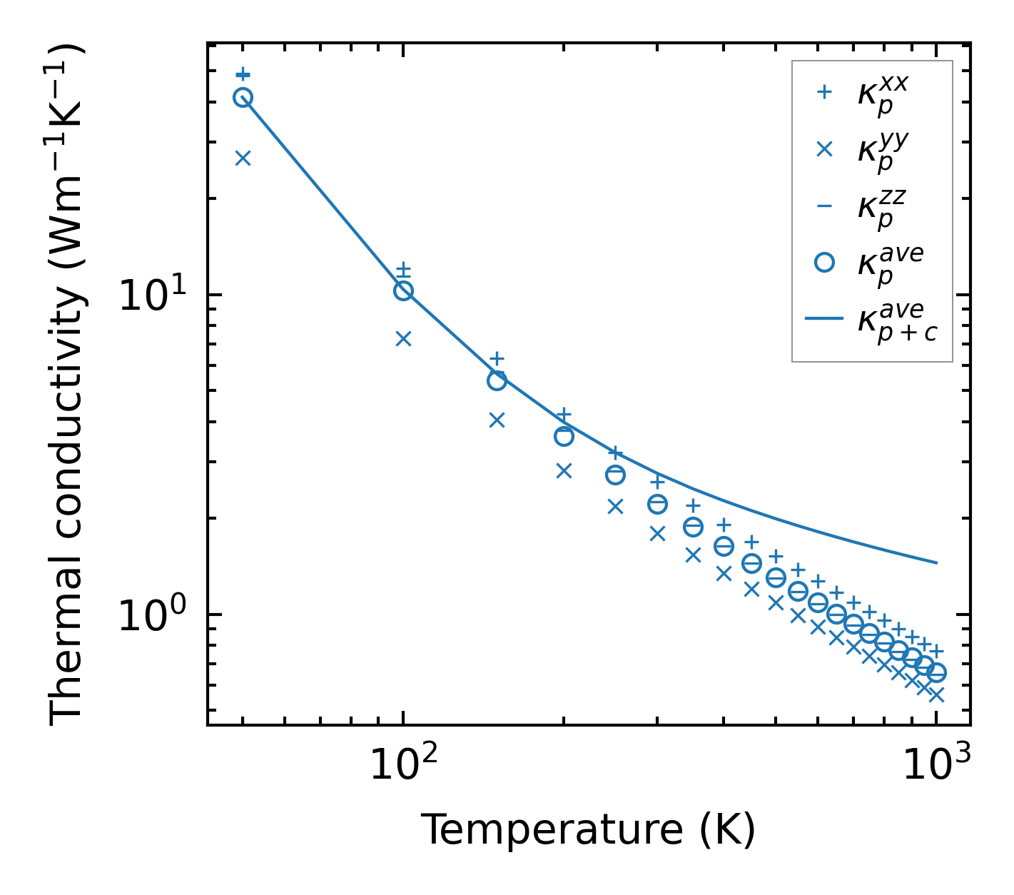
Thermal conductivity

3-phonon (LASSO) — q-mesh: 14x7x5, supercell: 2x1x1

../../_images/fig_kappa6718.png

(a) Temperature-dependent lattice thermal conductivity

../../_images/fig_kappa_vs_grain_size3599.png

(b) Peierls lattice thermal conductivity w.r.t grain size

Phonon lifetime and scattering rates

../../_images/fig_lifetime3521.png

(a) Phonon lifetime due to phonon-phonon scattering

../../_images/fig_scat_rates3520.png

(b) Phonon scattering rates

Cumulative and spectral thermal conductivity

../../_images/fig_cumu_frequency3521.png

(a) Spectral and cumulative thermal conductivity w.r.t frequency

../../_images/fig_cumu_mfp3520.png

(b) Spectral and cumulative thermal conductivity w.r.t MFP

Force constants

../../_images/fig_fc28599.png

(a) Force constants w.r.t atomic distance

Summary

../../_images/fig_kappa6719.png

(a) Temperature-dependent lattice thermal conductivity

../../_images/fig_times15499.png

(b) Computation time