mp-555942-2/Er3SiSe2O10F/anharm

Equation of state

../../_images/fig_bm4395.png

(a) Equation of state

Harmonic properties

../../_images/fig_bandos_pr8712.png

(a) Phonon dispersion with participation ratio and DOS

../../_images/fig_bandos12243.png

(b) Phonon dispersion and DOS

../../_images/fig_thermo8712.png

(c) Thermodynamic properties

Grüneisen parameters

../../_images/fig_gru_all3519.png

(a) Grüneisen parameters

../../_images/fig_gruneisen3519.png

(b) Phonon dispersion with Grüneisen parameters

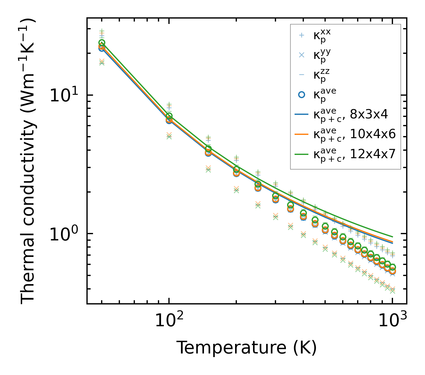
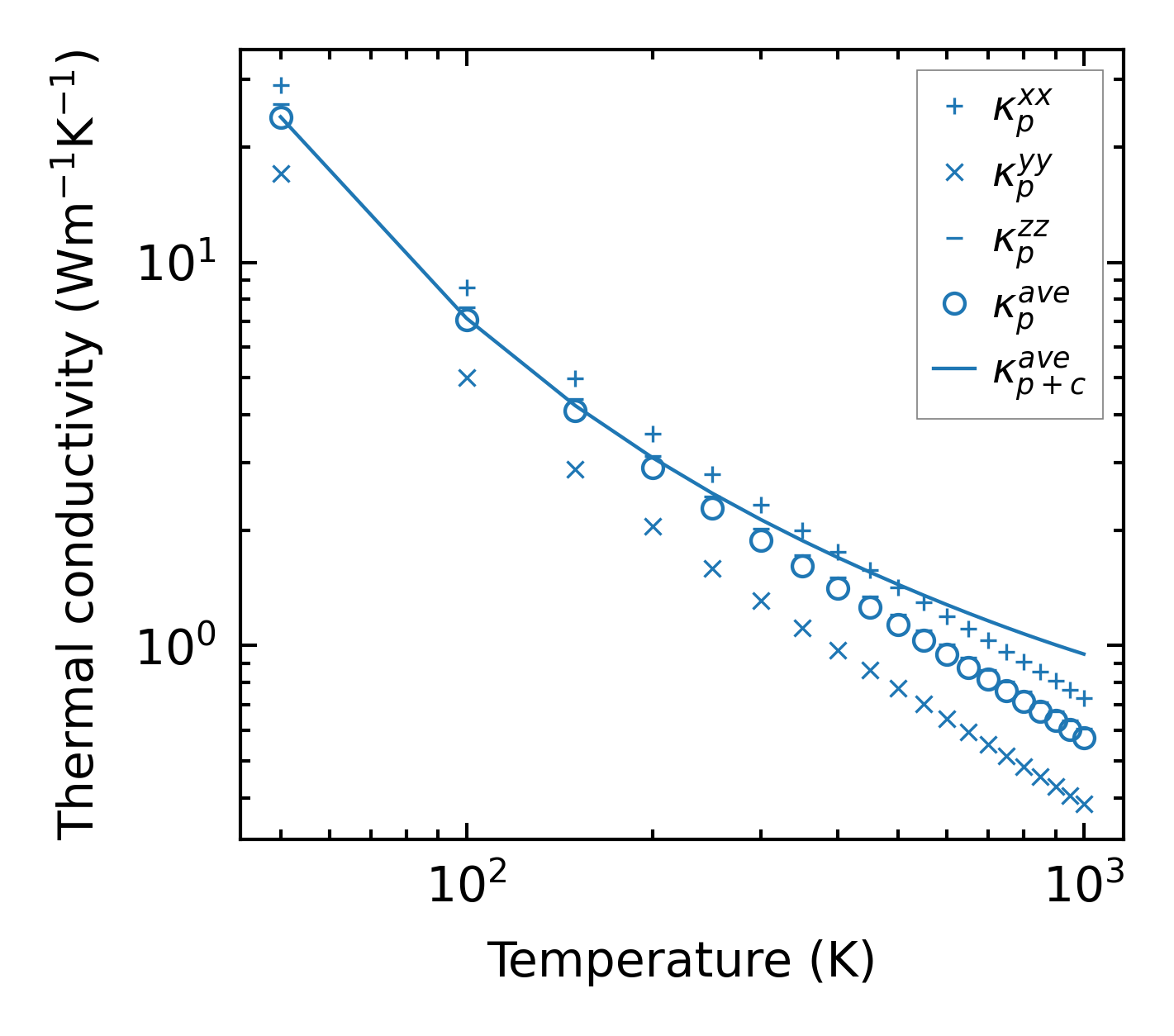
Thermal conductivity

3-phonon (LASSO) — q-mesh: 12x4x7, supercell: 2x1x1

../../_images/fig_kappa6656.png

(a) Temperature-dependent lattice thermal conductivity

../../_images/fig_kappa_vs_grain_size3563.png

(b) Peierls lattice thermal conductivity w.r.t grain size

Phonon lifetime and scattering rates

../../_images/fig_lifetime3486.png

(a) Phonon lifetime due to phonon-phonon scattering

../../_images/fig_scat_rates3485.png

(b) Phonon scattering rates

Cumulative and spectral thermal conductivity

../../_images/fig_cumu_frequency3486.png

(a) Spectral and cumulative thermal conductivity w.r.t frequency

../../_images/fig_cumu_mfp3485.png

(b) Spectral and cumulative thermal conductivity w.r.t MFP

Force constants

../../_images/fig_fc28473.png

(a) Force constants w.r.t atomic distance

Summary

../../_images/fig_kappa6657.png

(a) Temperature-dependent lattice thermal conductivity

../../_images/fig_times15264.png

(b) Computation time