mp-555932-2/RbEr3F10/anharm

Equation of state

../../_images/fig_bm4394.png

(a) Equation of state

Harmonic properties

../../_images/fig_bandos_pr8710.png

(a) Phonon dispersion with participation ratio and DOS

../../_images/fig_thermo8710.png

(b) Thermodynamic properties

Grüneisen parameters

../../_images/fig_gru_all3517.png

(a) Grüneisen parameters

../../_images/fig_gruneisen3517.png

(b) Phonon dispersion with Grüneisen parameters

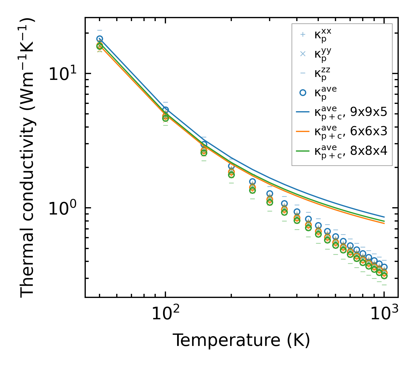
Thermal conductivity

3-phonon (LASSO) — q-mesh: 9x9x5, supercell: 1x1x1

../../_images/fig_kappa6652.png

(a) Temperature-dependent lattice thermal conductivity

../../_images/fig_kappa_vs_grain_size3561.png

(b) Peierls lattice thermal conductivity w.r.t grain size

Phonon lifetime and scattering rates

../../_images/fig_lifetime3484.png

(a) Phonon lifetime due to phonon-phonon scattering

../../_images/fig_scat_rates3483.png

(b) Phonon scattering rates

Cumulative and spectral thermal conductivity

../../_images/fig_cumu_frequency3484.png

(a) Spectral and cumulative thermal conductivity w.r.t frequency

../../_images/fig_cumu_mfp3483.png

(b) Spectral and cumulative thermal conductivity w.r.t MFP

Force constants

../../_images/fig_fc28471.png

(a) Force constants w.r.t atomic distance

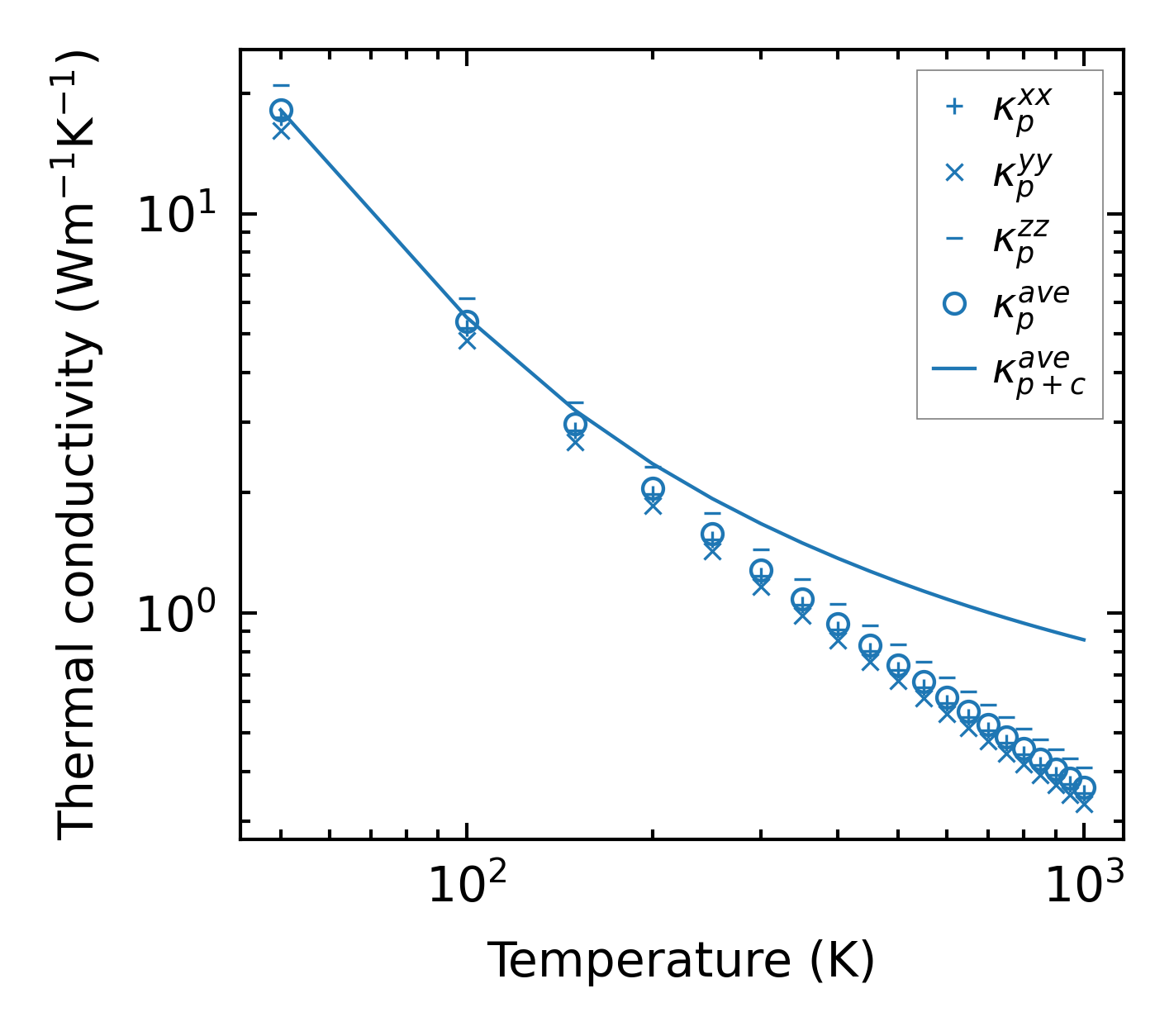
Summary

../../_images/fig_kappa6653.png

(a) Temperature-dependent lattice thermal conductivity

../../_images/fig_times15259.png

(b) Computation time