mp-555188/Ba17Ho16Zn8Pt4O57/anharm

Harmonic properties

../../_images/fig_bandos_pr8867.png

(a) Phonon dispersion with participation ratio and DOS

../../_images/fig_thermo8867.png

(b) Thermodynamic properties

Grüneisen parameters

../../_images/fig_gru_all3563.png

(a) Grüneisen parameters

../../_images/fig_gruneisen3563.png

(b) Phonon dispersion with Grüneisen parameters

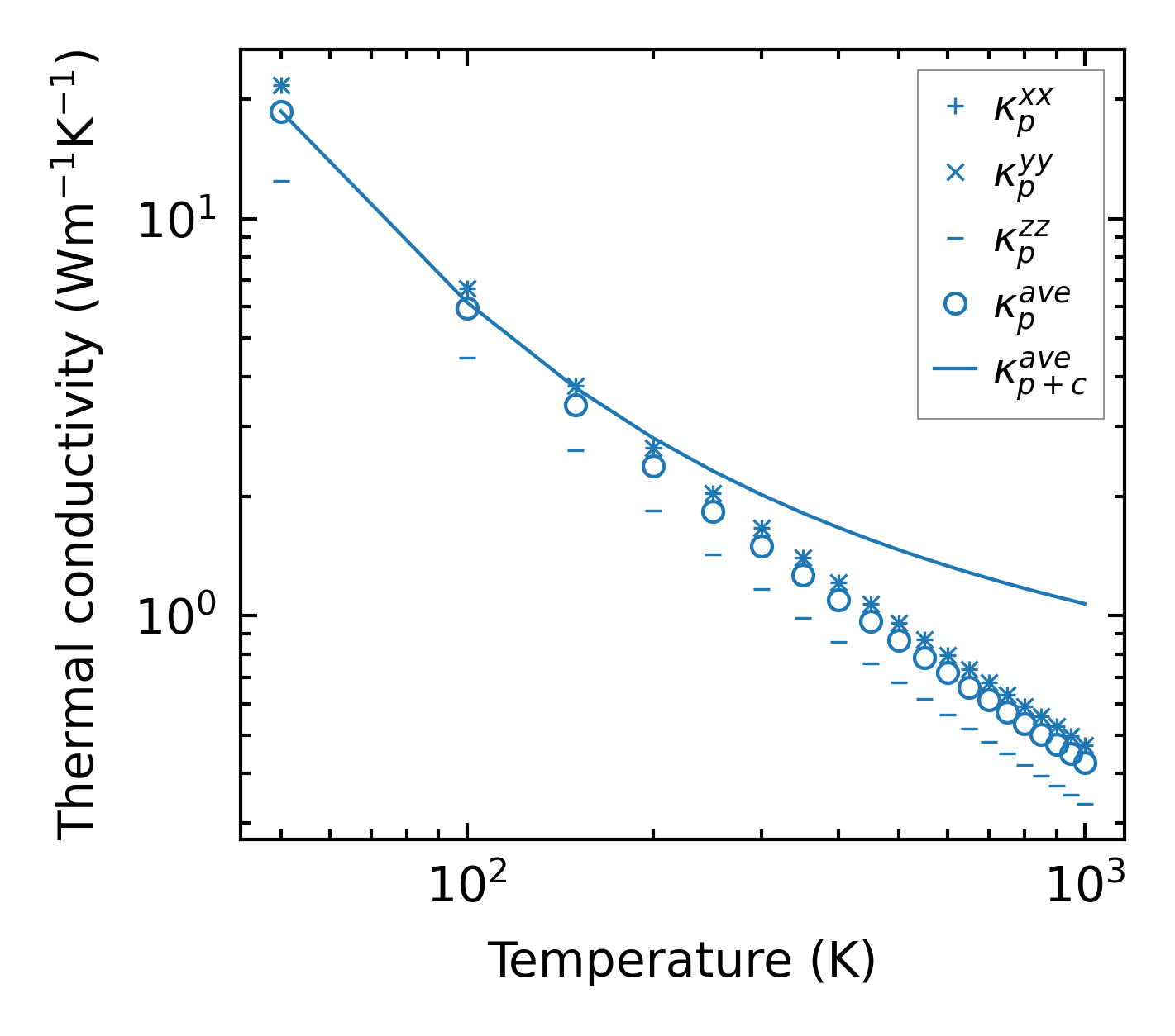
Thermal conductivity

3-phonon (LASSO) — q-mesh: 6x6x6, supercell: 1x1x1

../../_images/fig_kappa6733.png

(a) Temperature-dependent lattice thermal conductivity

../../_images/fig_kappa_vs_grain_size3608.png

(b) Peierls lattice thermal conductivity w.r.t grain size

Phonon lifetime and scattering rates

../../_images/fig_lifetime3530.png

(a) Phonon lifetime due to phonon-phonon scattering

../../_images/fig_scat_rates3529.png

(b) Phonon scattering rates

Cumulative and spectral thermal conductivity

../../_images/fig_cumu_frequency3530.png

(a) Spectral and cumulative thermal conductivity w.r.t frequency

../../_images/fig_cumu_mfp3529.png

(b) Spectral and cumulative thermal conductivity w.r.t MFP

Force constants

../../_images/fig_fc28628.png

(a) Force constants w.r.t atomic distance

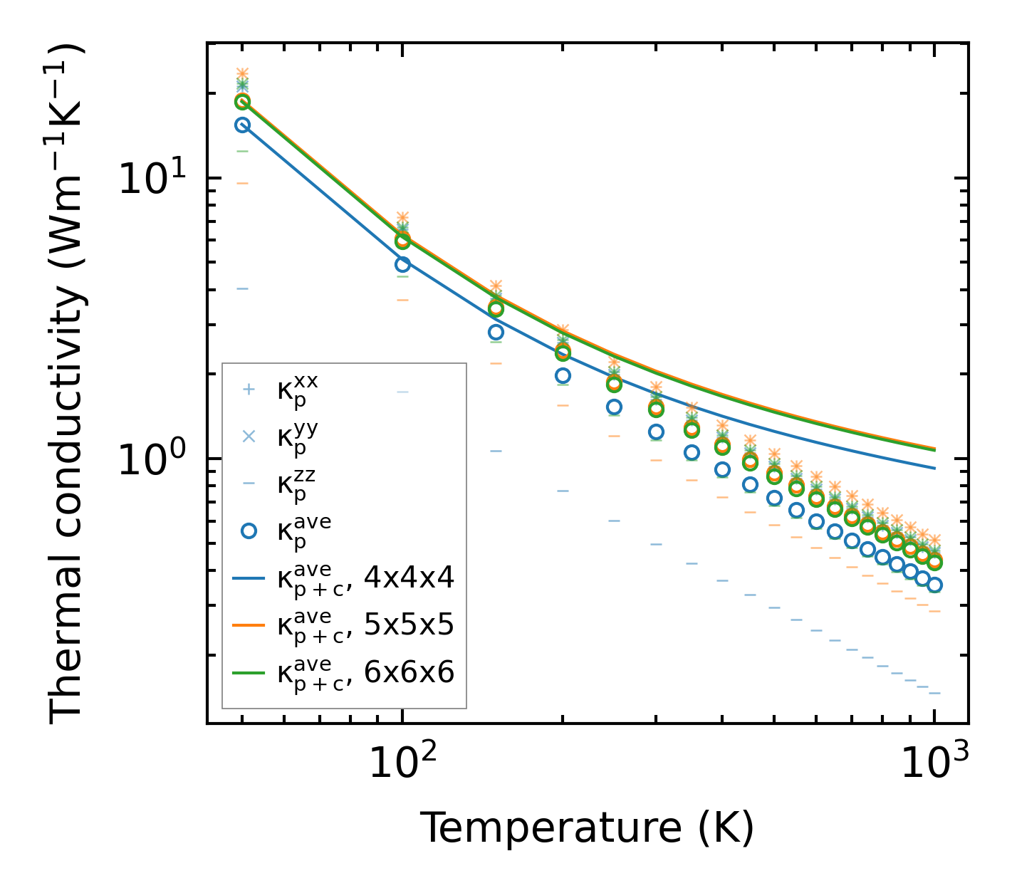
Summary

../../_images/fig_kappa6734.png

(a) Temperature-dependent lattice thermal conductivity

../../_images/fig_times15552.png

(b) Computation time