mp-555451/Sr3UTe4O14/harm

Harmonic properties

../../_images/fig_bandos_pr8615.png

(a) Phonon dispersion with participation ratio and DOS

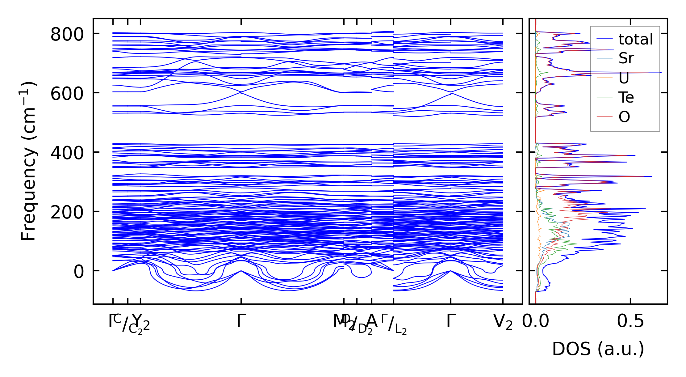
../../_images/fig_bandos12113.png

(b) Phonon dispersion and DOS

../../_images/fig_thermo8615.png

(c) Thermodynamic properties

Force constants

../../_images/fig_fc28376.png

(a) Force constants w.r.t atomic distance

Summary

../../_images/fig_times15111.png

(a) Computation time