mp-555863/P4PtF12/harm

Equation of state

../../_images/fig_bm4387.png

(a) Equation of state

Harmonic properties

../../_images/fig_bandos_pr8694.png

(a) Phonon dispersion with participation ratio and DOS

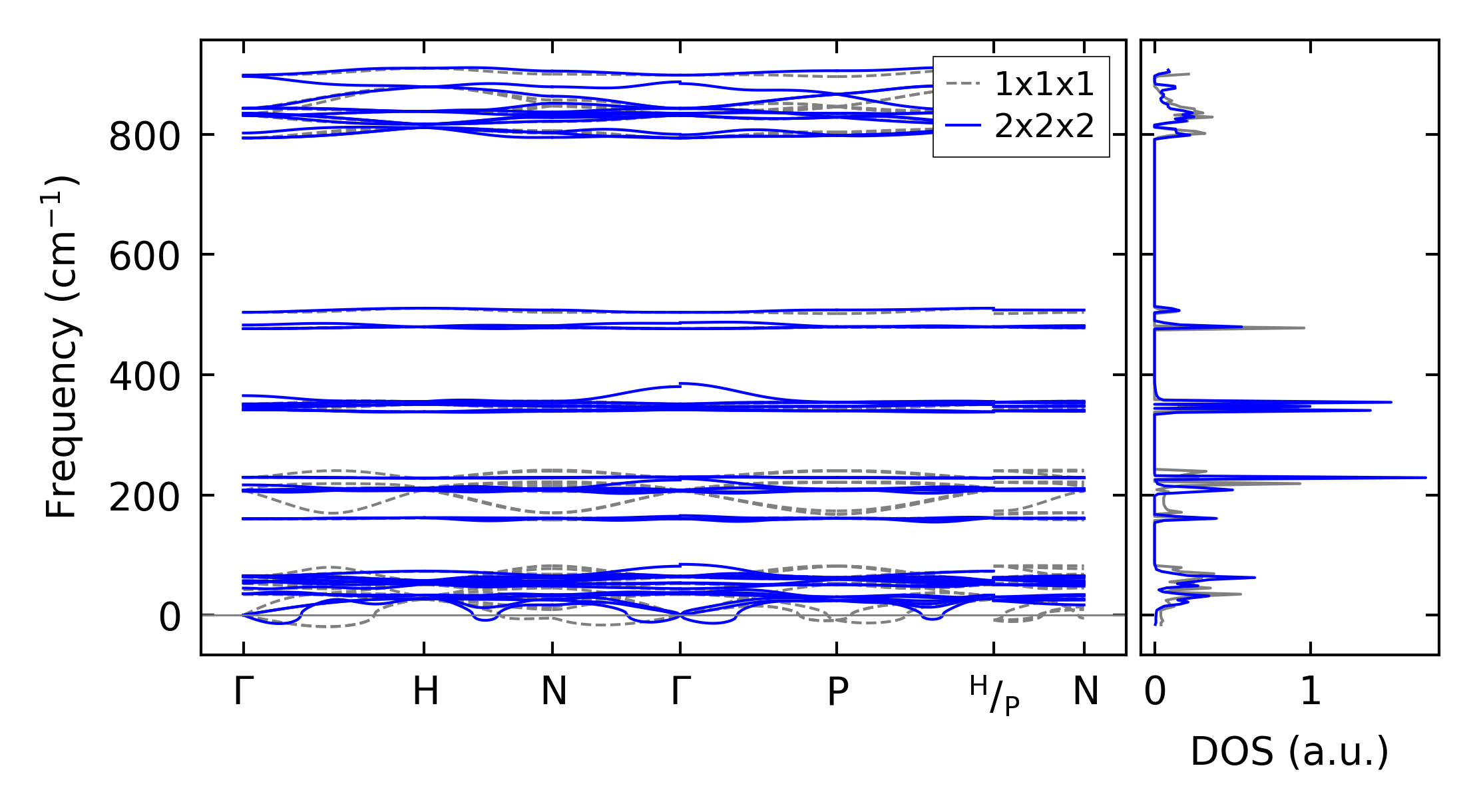
../../_images/fig_bandos12216.png

(b) Phonon dispersion and DOS

../../_images/fig_thermo8694.png

(c) Thermodynamic properties

Force constants

../../_images/fig_fc28455.png

(a) Force constants w.r.t atomic distance

Summary

../../_images/fig_times15233.png

(a) Computation time