mp-555983/Er2SiO5/harm

Harmonic properties

../../_images/fig_bandos_pr8727.png

(a) Phonon dispersion with participation ratio and DOS

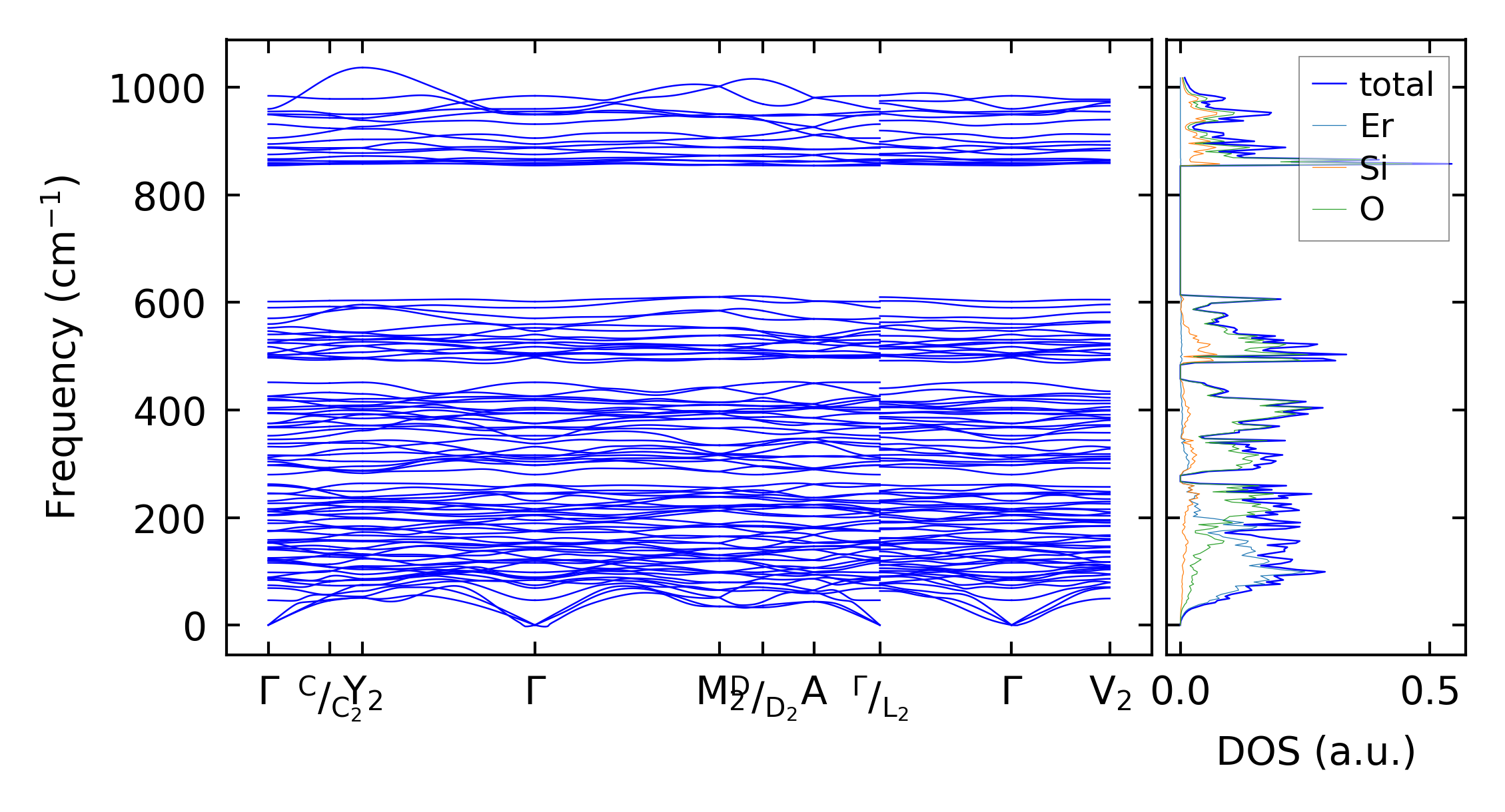
../../_images/fig_bandos12268.png

(b) Phonon dispersion and DOS

../../_images/fig_thermo8727.png

(c) Thermodynamic properties

Force constants

../../_images/fig_fc28488.png

(a) Force constants w.r.t atomic distance

Summary

../../_images/fig_times15289.png

(a) Computation time