mp-555199-2/TlHgAsS3/anharm

Equation of state

../../_images/fig_bm4479.png

(a) Equation of state

Harmonic properties

../../_images/fig_bandos_pr8873.png

(a) Phonon dispersion with participation ratio and DOS

../../_images/fig_thermo8873.png

(b) Thermodynamic properties

Grüneisen parameters

../../_images/fig_gru_all3564.png

(a) Grüneisen parameters

../../_images/fig_gruneisen3564.png

(b) Phonon dispersion with Grüneisen parameters

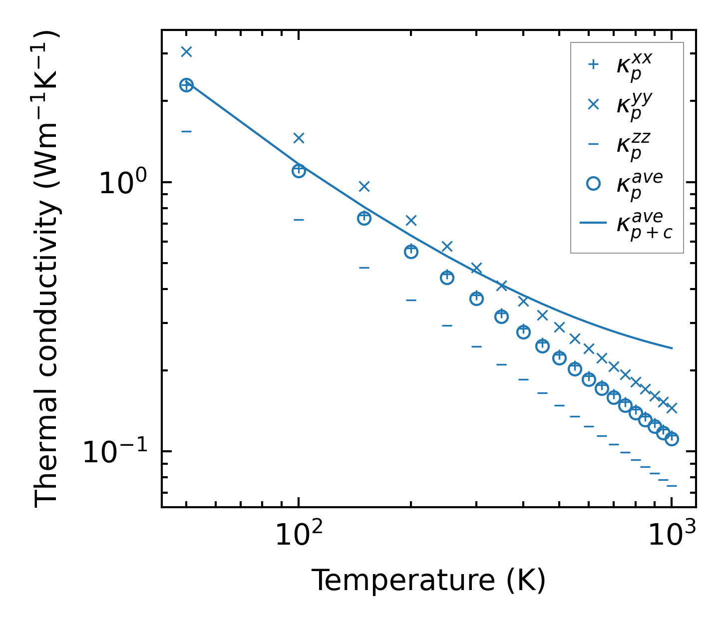
Thermal conductivity

3-phonon (LASSO) — q-mesh: 11x11x4, supercell: 2x1x1

../../_images/fig_kappa6735.png

(a) Temperature-dependent lattice thermal conductivity

../../_images/fig_kappa_vs_grain_size3609.png

(b) Peierls lattice thermal conductivity w.r.t grain size

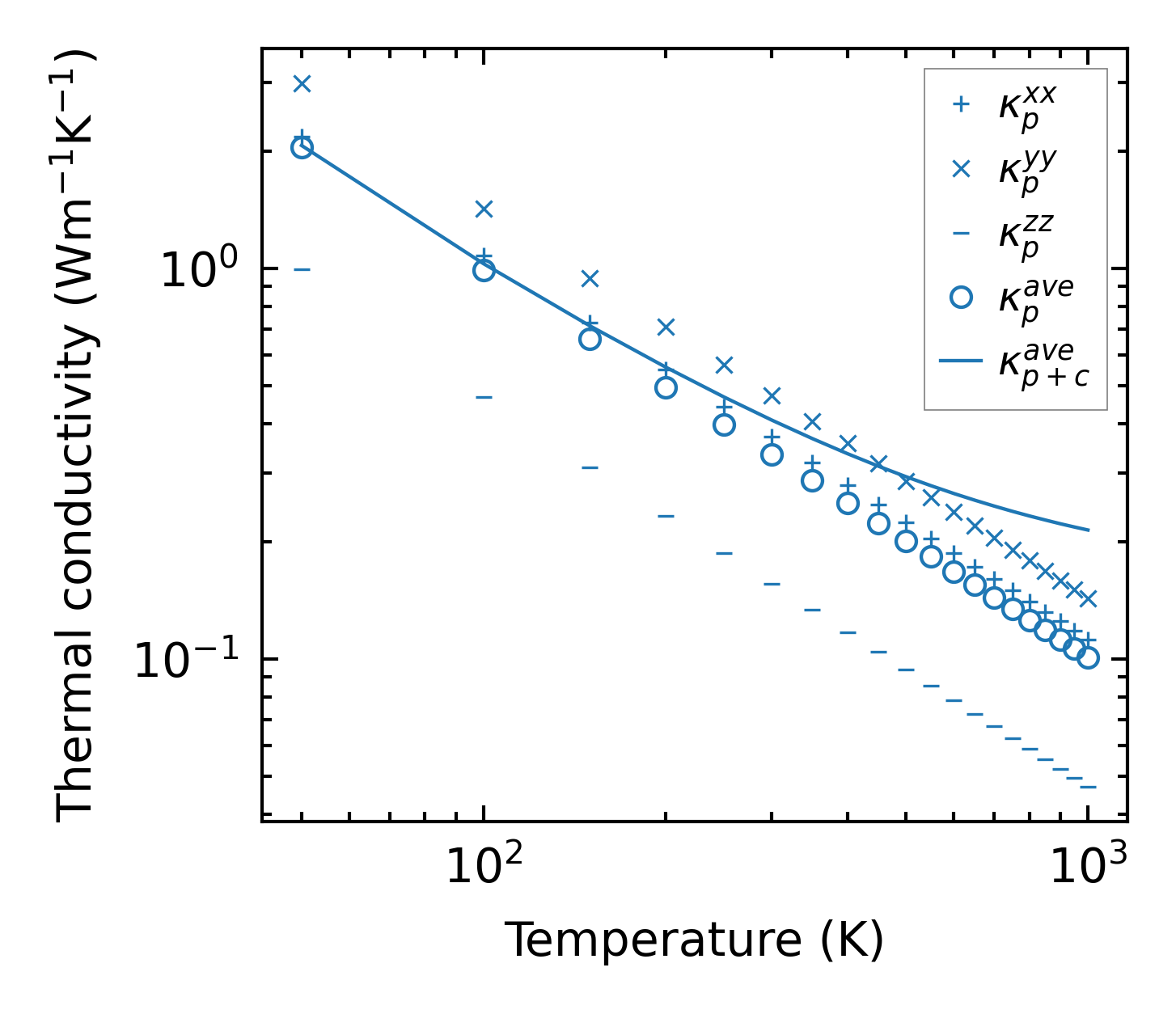
3-phonon (LASSO), supercell 2x2x1 — q-mesh: 11x11x4, supercell: 2x2x1

../../_images/fig_kappa6736.png

(a) Temperature-dependent lattice thermal conductivity

../../_images/fig_kappa_vs_grain_size3610.png

(b) Peierls lattice thermal conductivity w.r.t grain size

Phonon lifetime and scattering rates

../../_images/fig_lifetime3531.png

(a) Phonon lifetime due to phonon-phonon scattering

../../_images/fig_scat_rates3530.png

(b) Phonon scattering rates

Cumulative and spectral thermal conductivity

../../_images/fig_cumu_frequency3531.png

(a) Spectral and cumulative thermal conductivity w.r.t frequency

../../_images/fig_cumu_mfp3530.png

(b) Spectral and cumulative thermal conductivity w.r.t MFP

Force constants

../../_images/fig_fc28634.png

(a) Force constants w.r.t atomic distance

Summary

../../_images/fig_kappa6737.png

(a) Temperature-dependent lattice thermal conductivity

../../_images/fig_times15558.png

(b) Computation time