mp-555818-2/Cu2SiPbS4/anharm

Equation of state

../../_images/fig_bm4380.png

(a) Equation of state

Harmonic properties

../../_images/fig_bandos_pr8681.png

(a) Phonon dispersion with participation ratio and DOS

../../_images/fig_thermo8681.png

(b) Thermodynamic properties

Grüneisen parameters

../../_images/fig_gru_all3509.png

(a) Grüneisen parameters

../../_images/fig_gruneisen3509.png

(b) Phonon dispersion with Grüneisen parameters

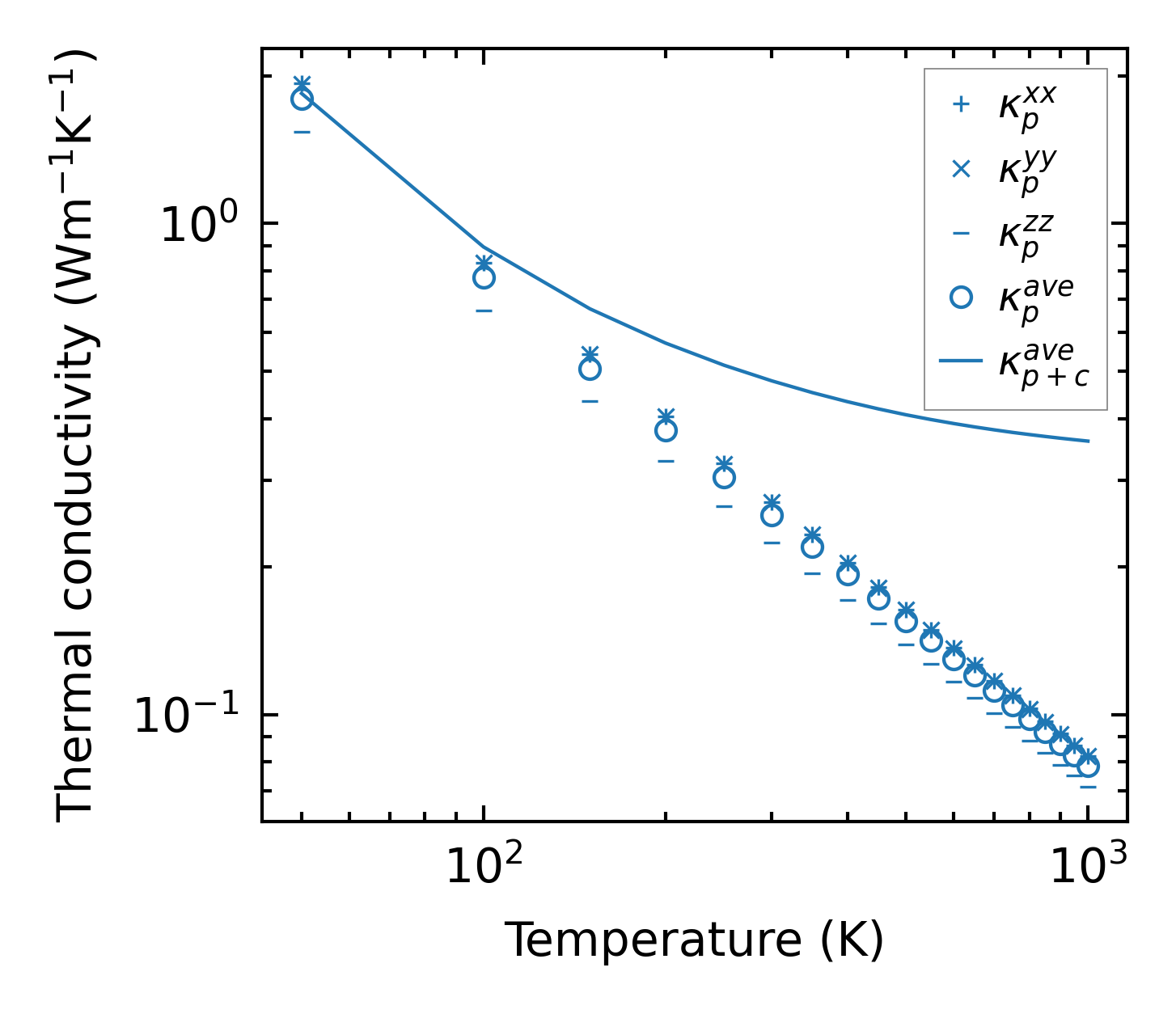
Thermal conductivity

3-phonon (LASSO) — q-mesh: 12x12x5, supercell: 2x2x1

../../_images/fig_kappa6637.png

(a) Temperature-dependent lattice thermal conductivity

../../_images/fig_kappa_vs_grain_size3553.png

(b) Peierls lattice thermal conductivity w.r.t grain size

Phonon lifetime and scattering rates

../../_images/fig_lifetime3476.png

(a) Phonon lifetime due to phonon-phonon scattering

../../_images/fig_scat_rates3475.png

(b) Phonon scattering rates

Cumulative and spectral thermal conductivity

../../_images/fig_cumu_frequency3476.png

(a) Spectral and cumulative thermal conductivity w.r.t frequency

../../_images/fig_cumu_mfp3475.png

(b) Spectral and cumulative thermal conductivity w.r.t MFP

Force constants

../../_images/fig_fc28442.png

(a) Force constants w.r.t atomic distance

Summary

../../_images/fig_kappa6638.png

(a) Temperature-dependent lattice thermal conductivity

../../_images/fig_times15214.png

(b) Computation time