mp-555349-2/La2CO5/harm

Harmonic properties

../../_images/fig_bandos_pr8908.png

(a) Phonon dispersion with participation ratio and DOS

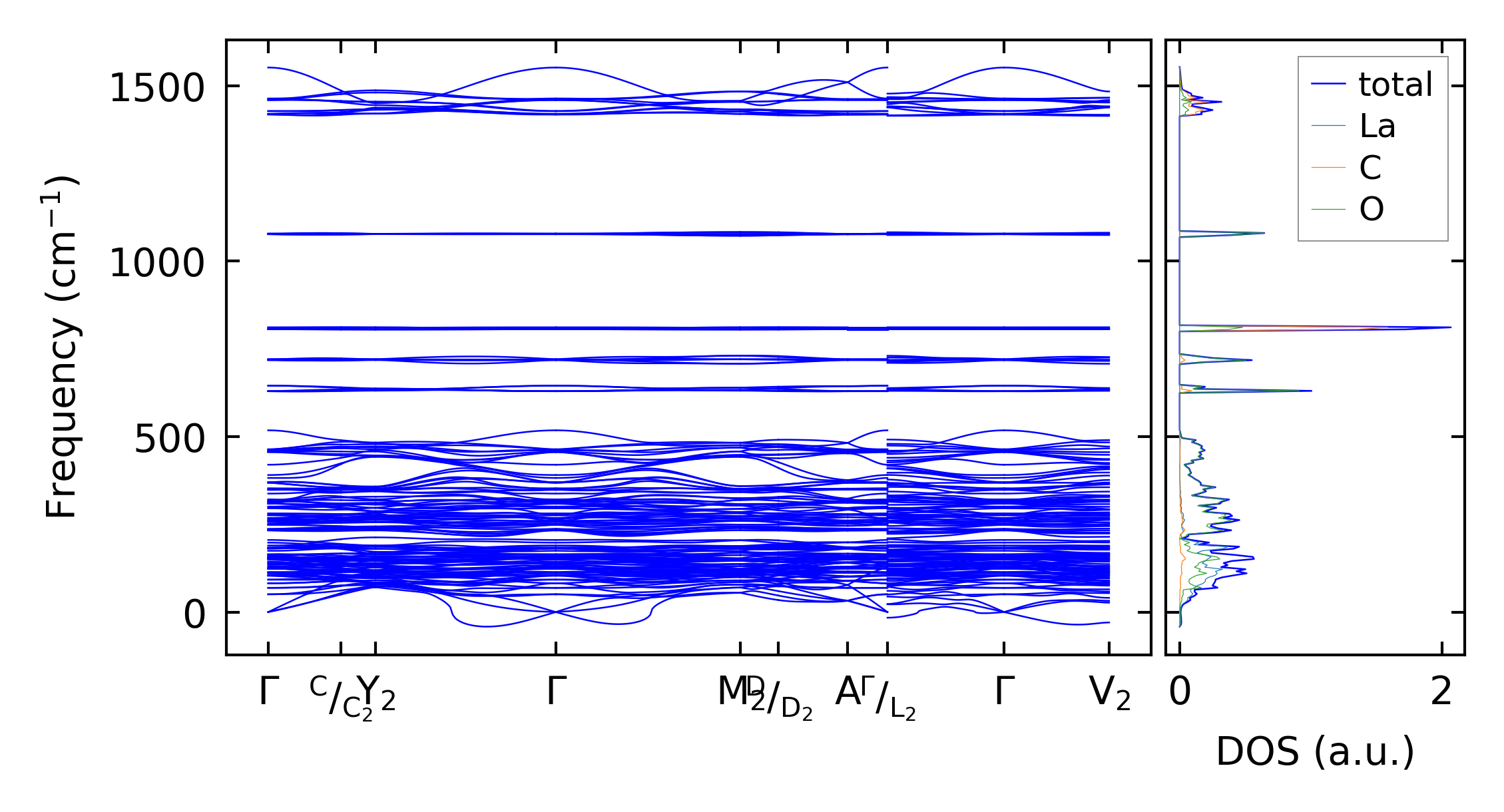
../../_images/fig_bandos12562.png

(b) Phonon dispersion and DOS

../../_images/fig_thermo8908.png

(c) Thermodynamic properties

Force constants

../../_images/fig_fc28669.png

(a) Force constants w.r.t atomic distance

Summary

../../_images/fig_times15618.png

(a) Computation time