mp-555942/Er3SiSe2O10F/anharm

Harmonic properties

../../_images/fig_bandos_pr8711.png

(a) Phonon dispersion with participation ratio and DOS

../../_images/fig_bandos12242.png

(b) Phonon dispersion and DOS

../../_images/fig_thermo8711.png

(c) Thermodynamic properties

Grüneisen parameters

../../_images/fig_gru_all3518.png

(a) Grüneisen parameters

../../_images/fig_gruneisen3518.png

(b) Phonon dispersion with Grüneisen parameters

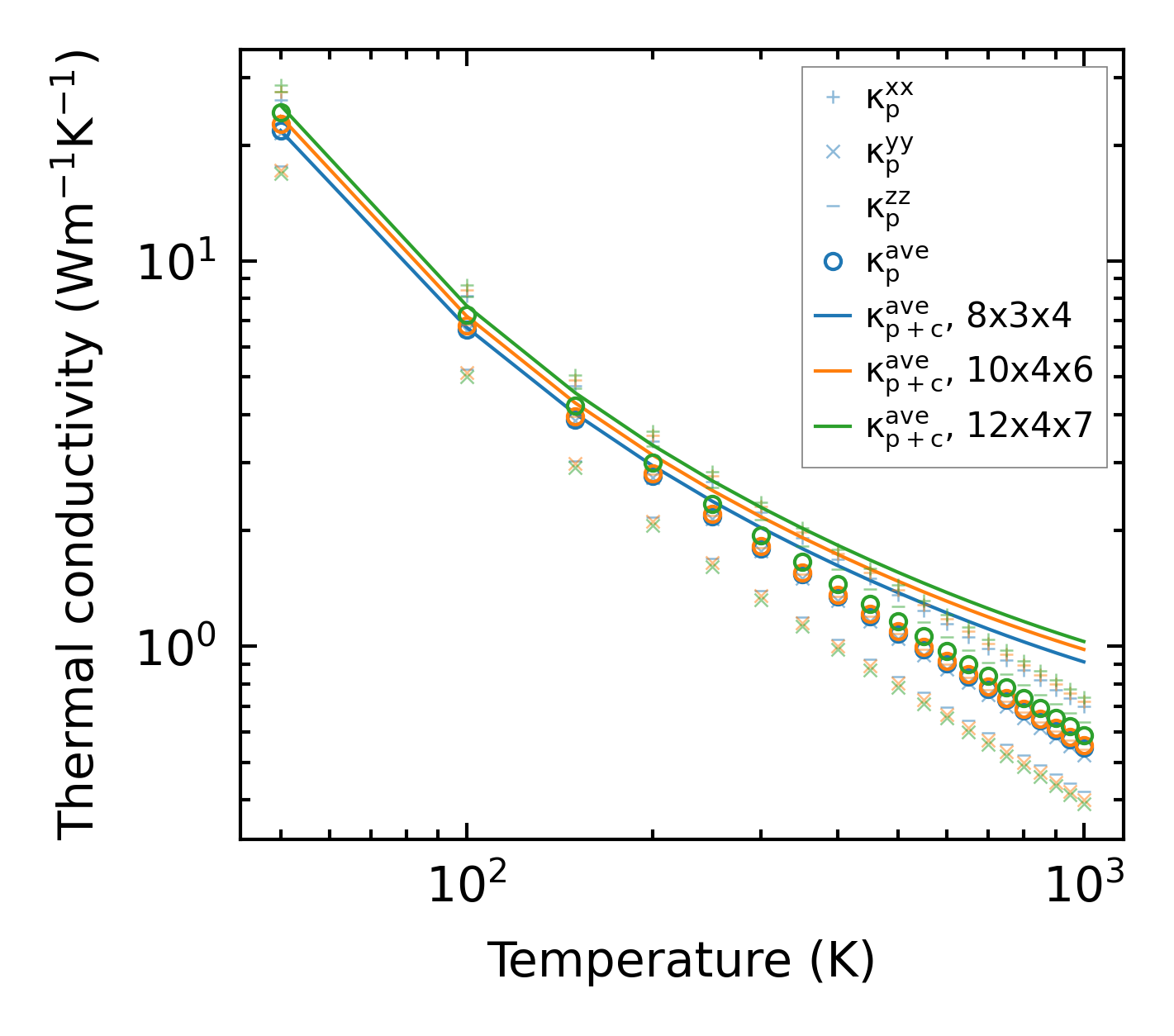
Thermal conductivity

3-phonon (LASSO) — q-mesh: 12x4x7, supercell: 2x1x1

../../_images/fig_kappa6654.png

(a) Temperature-dependent lattice thermal conductivity

../../_images/fig_kappa_vs_grain_size3562.png

(b) Peierls lattice thermal conductivity w.r.t grain size

Phonon lifetime and scattering rates

../../_images/fig_lifetime3485.png

(a) Phonon lifetime due to phonon-phonon scattering

../../_images/fig_scat_rates3484.png

(b) Phonon scattering rates

Cumulative and spectral thermal conductivity

../../_images/fig_cumu_frequency3485.png

(a) Spectral and cumulative thermal conductivity w.r.t frequency

../../_images/fig_cumu_mfp3484.png

(b) Spectral and cumulative thermal conductivity w.r.t MFP

Force constants

../../_images/fig_fc28472.png

(a) Force constants w.r.t atomic distance

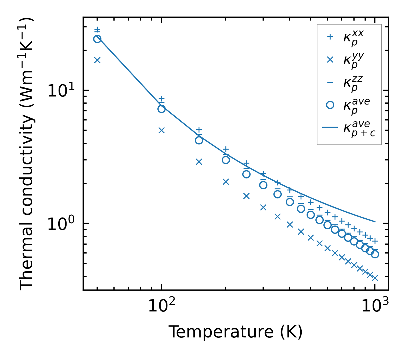
Summary

../../_images/fig_kappa6655.png

(a) Temperature-dependent lattice thermal conductivity

../../_images/fig_times15263.png

(b) Computation time