mp-555736/BaHg2Cl2O2/anharm

Harmonic properties

../../_images/fig_bandos_pr8662.png

(a) Phonon dispersion with participation ratio and DOS

../../_images/fig_thermo8662.png

(b) Thermodynamic properties

Grüneisen parameters

../../_images/fig_gru_all3506.png

(a) Grüneisen parameters

../../_images/fig_gruneisen3506.png

(b) Phonon dispersion with Grüneisen parameters

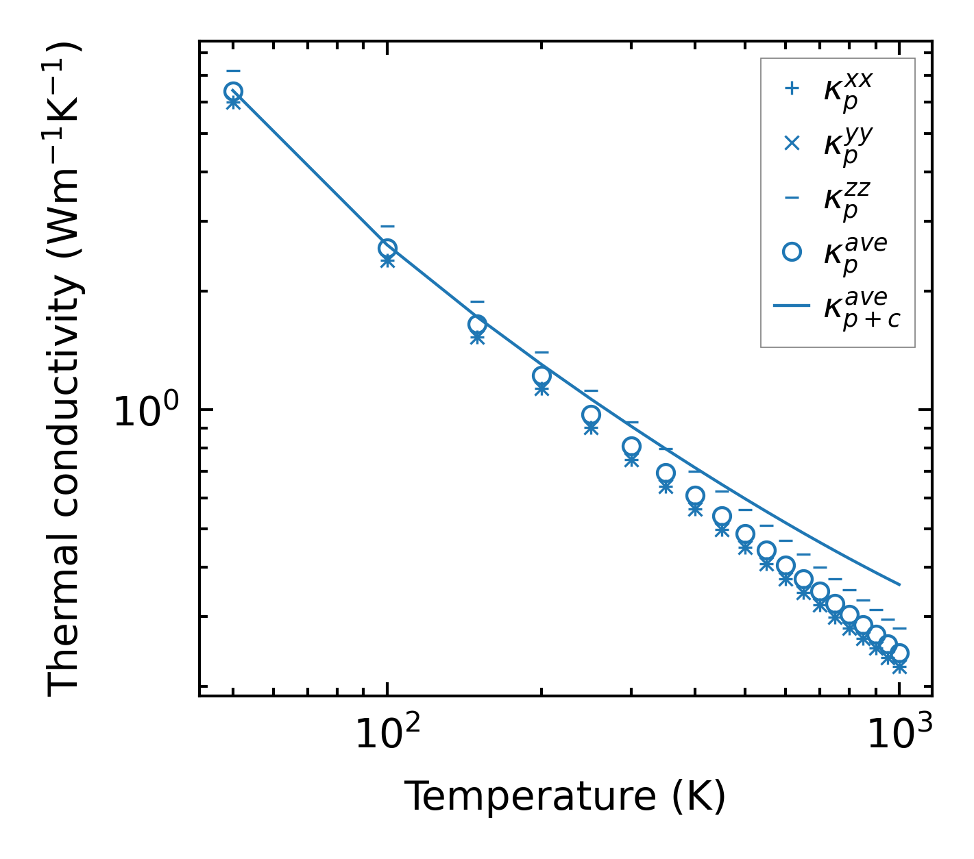
Thermal conductivity

3-phonon (LASSO) — q-mesh: 6x6x16, supercell: 1x1x3

../../_images/fig_kappa6631.png

(a) Temperature-dependent lattice thermal conductivity

../../_images/fig_kappa_vs_grain_size3550.png

(b) Peierls lattice thermal conductivity w.r.t grain size

Phonon lifetime and scattering rates

../../_images/fig_lifetime3473.png

(a) Phonon lifetime due to phonon-phonon scattering

../../_images/fig_scat_rates3472.png

(b) Phonon scattering rates

Cumulative and spectral thermal conductivity

../../_images/fig_cumu_frequency3473.png

(a) Spectral and cumulative thermal conductivity w.r.t frequency

../../_images/fig_cumu_mfp3472.png

(b) Spectral and cumulative thermal conductivity w.r.t MFP

Force constants

../../_images/fig_fc28423.png

(a) Force constants w.r.t atomic distance

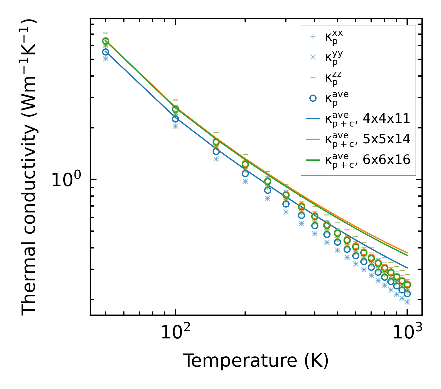
Summary

../../_images/fig_kappa6632.png

(a) Temperature-dependent lattice thermal conductivity

../../_images/fig_times15182.png

(b) Computation time