mp-555490/KRe2O4F7/harm

Equation of state

../../_images/fig_bm4362.png

(a) Equation of state

Harmonic properties

../../_images/fig_bandos_pr8621.png

(a) Phonon dispersion with participation ratio and DOS

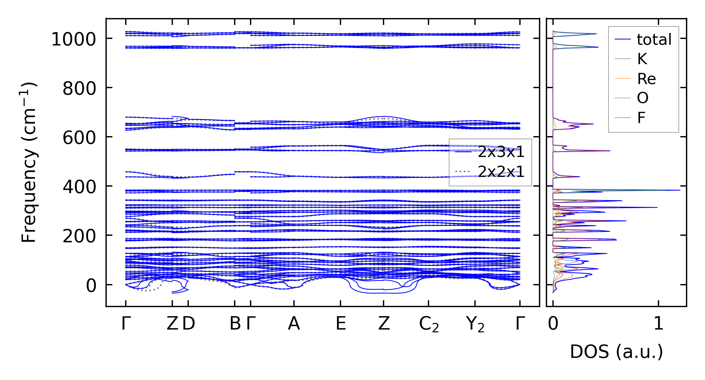
../../_images/fig_bandos12120.png

(b) Phonon dispersion and DOS

../../_images/fig_thermo8621.png

(c) Thermodynamic properties

Force constants

../../_images/fig_fc28382.png

(a) Force constants w.r.t atomic distance

Summary

../../_images/fig_times15121.png

(a) Computation time