mp-555048-2/NaAlCdF6/anharm

Equation of state

../../_images/fig_bm4456.png

(a) Equation of state

Harmonic properties

../../_images/fig_bandos_pr8822.png

(a) Phonon dispersion with participation ratio and DOS

../../_images/fig_thermo8822.png

(b) Thermodynamic properties

Grüneisen parameters

../../_images/fig_gru_all3549.png

(a) Grüneisen parameters

../../_images/fig_gruneisen3549.png

(b) Phonon dispersion with Grüneisen parameters

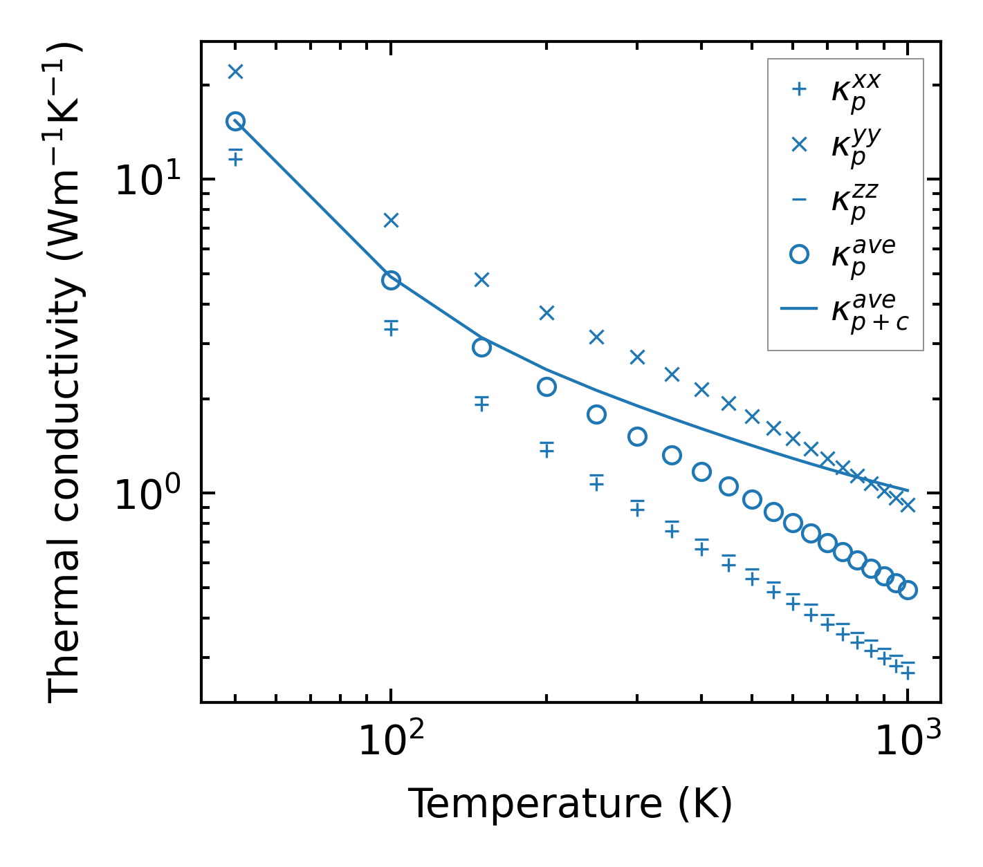
Thermal conductivity

3-phonon (LASSO) — q-mesh: 5x19x7, supercell: 1x3x1

../../_images/fig_kappa6707.png

(a) Temperature-dependent lattice thermal conductivity

../../_images/fig_kappa_vs_grain_size3593.png

(b) Peierls lattice thermal conductivity w.r.t grain size

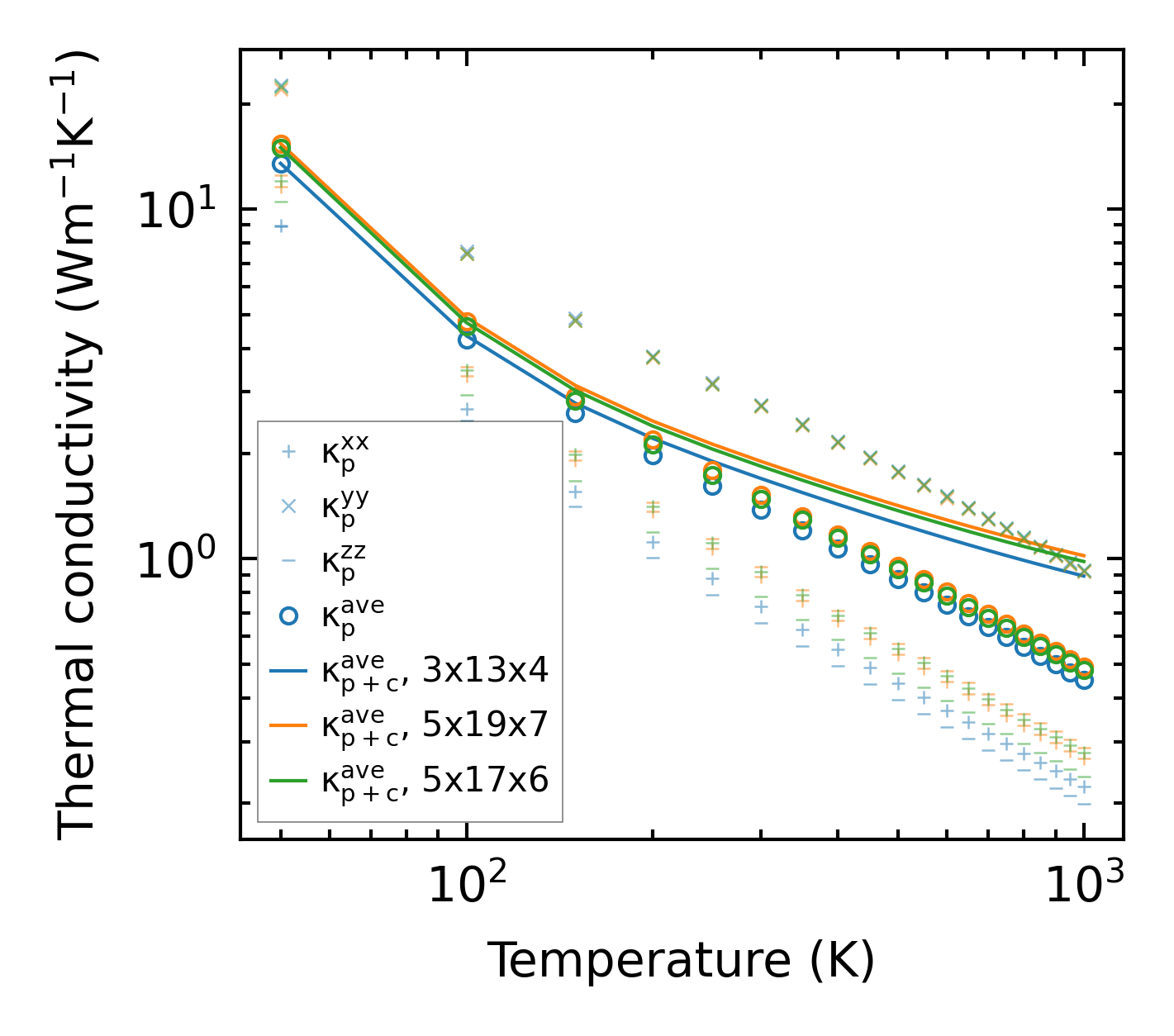
3-phonon (LASSO), supercell 1x3x2 — q-mesh: 5x19x7, supercell: 1x3x2

../../_images/fig_kappa6708.png

(a) Temperature-dependent lattice thermal conductivity

../../_images/fig_kappa_vs_grain_size3594.png

(b) Peierls lattice thermal conductivity w.r.t grain size

Phonon lifetime and scattering rates

../../_images/fig_lifetime3516.png

(a) Phonon lifetime due to phonon-phonon scattering

../../_images/fig_scat_rates3515.png

(b) Phonon scattering rates

Cumulative and spectral thermal conductivity

../../_images/fig_cumu_frequency3516.png

(a) Spectral and cumulative thermal conductivity w.r.t frequency

../../_images/fig_cumu_mfp3515.png

(b) Spectral and cumulative thermal conductivity w.r.t MFP

Force constants

../../_images/fig_fc28583.png

(a) Force constants w.r.t atomic distance

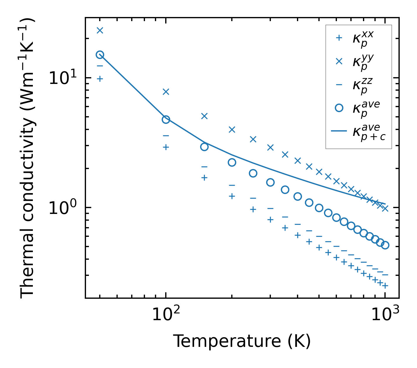
Summary

../../_images/fig_kappa6709.png

(a) Temperature-dependent lattice thermal conductivity

../../_images/fig_times15475.png

(b) Computation time