mp-555626/Na2Li8U11W2O44/harm

Harmonic properties

../../_images/fig_bandos_pr8649.png

(a) Phonon dispersion with participation ratio and DOS

../../_images/fig_bandos12150.png

(b) Phonon dispersion and DOS

../../_images/fig_thermo8649.png

(c) Thermodynamic properties

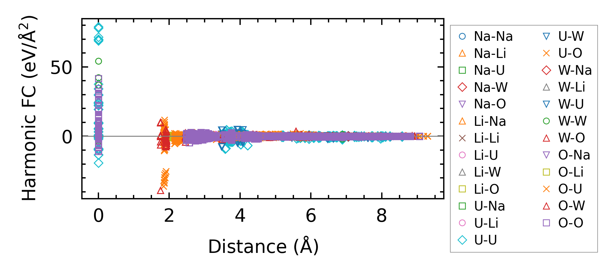
Force constants

../../_images/fig_fc28410.png

(a) Force constants w.r.t atomic distance

Summary

../../_images/fig_times15159.png

(a) Computation time