mp-555387/BaSi2B2O8/anharm

Harmonic properties

../../_images/fig_bandos_pr8914.png

(a) Phonon dispersion with participation ratio and DOS

../../_images/fig_thermo8914.png

(b) Thermodynamic properties

Grüneisen parameters

../../_images/fig_gru_all3569.png

(a) Grüneisen parameters

../../_images/fig_gruneisen3569.png

(b) Phonon dispersion with Grüneisen parameters

Thermal conductivity

3-phonon (LASSO) — q-mesh: 8x8x7, supercell: 1x2x1

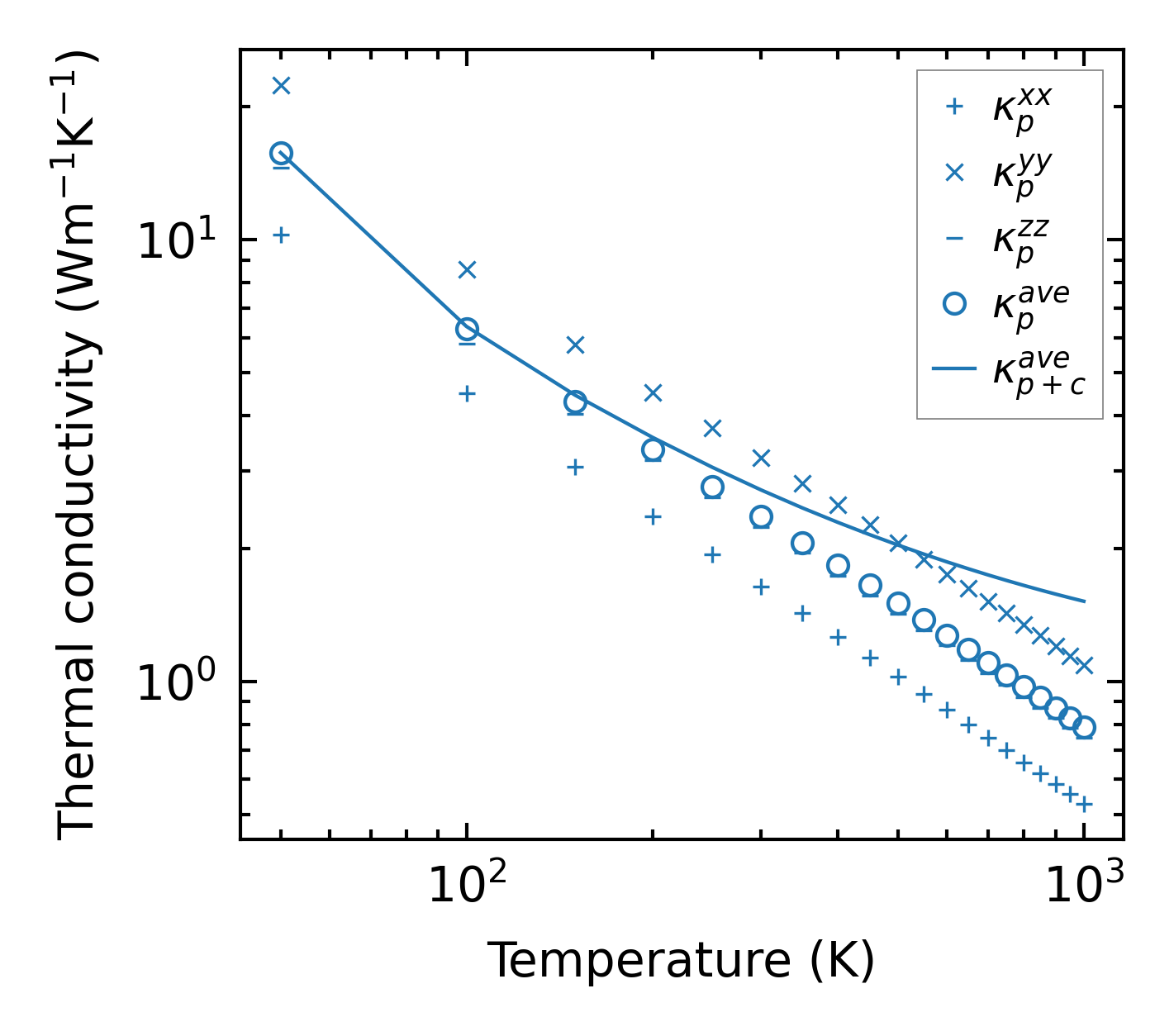
../../_images/fig_kappa6745.png

(a) Temperature-dependent lattice thermal conductivity

../../_images/fig_kappa_vs_grain_size3615.png

(b) Peierls lattice thermal conductivity w.r.t grain size

Phonon lifetime and scattering rates

../../_images/fig_lifetime3536.png

(a) Phonon lifetime due to phonon-phonon scattering

../../_images/fig_scat_rates3535.png

(b) Phonon scattering rates

Cumulative and spectral thermal conductivity

../../_images/fig_cumu_frequency3536.png

(a) Spectral and cumulative thermal conductivity w.r.t frequency

../../_images/fig_cumu_mfp3535.png

(b) Spectral and cumulative thermal conductivity w.r.t MFP

Force constants

../../_images/fig_fc28675.png

(a) Force constants w.r.t atomic distance

Summary

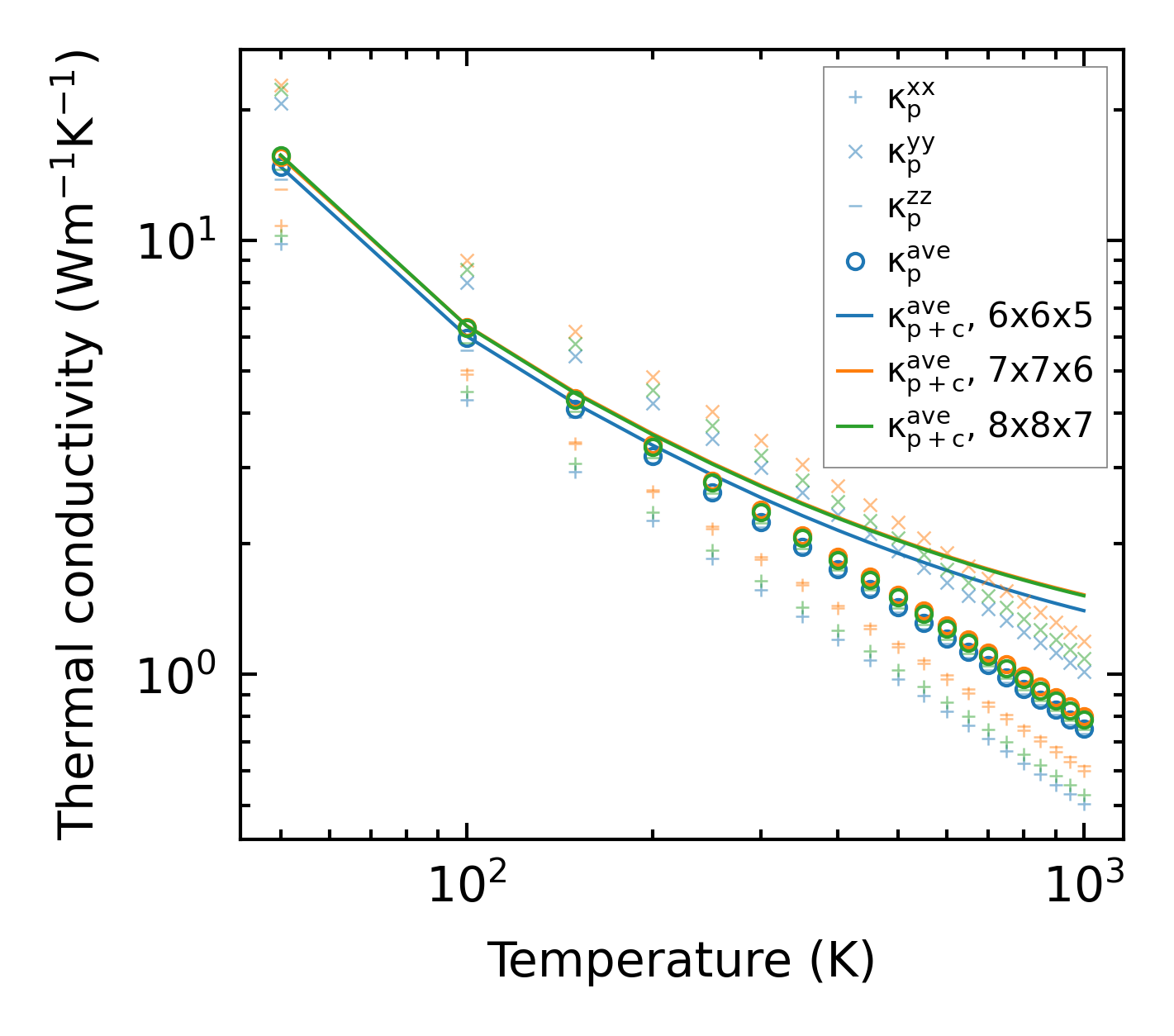
../../_images/fig_kappa6746.png

(a) Temperature-dependent lattice thermal conductivity

../../_images/fig_times15625.png

(b) Computation time