mp-555683/DyMoClO4/harm

Harmonic properties

../../_images/fig_bandos_pr8654.png

(a) Phonon dispersion with participation ratio and DOS

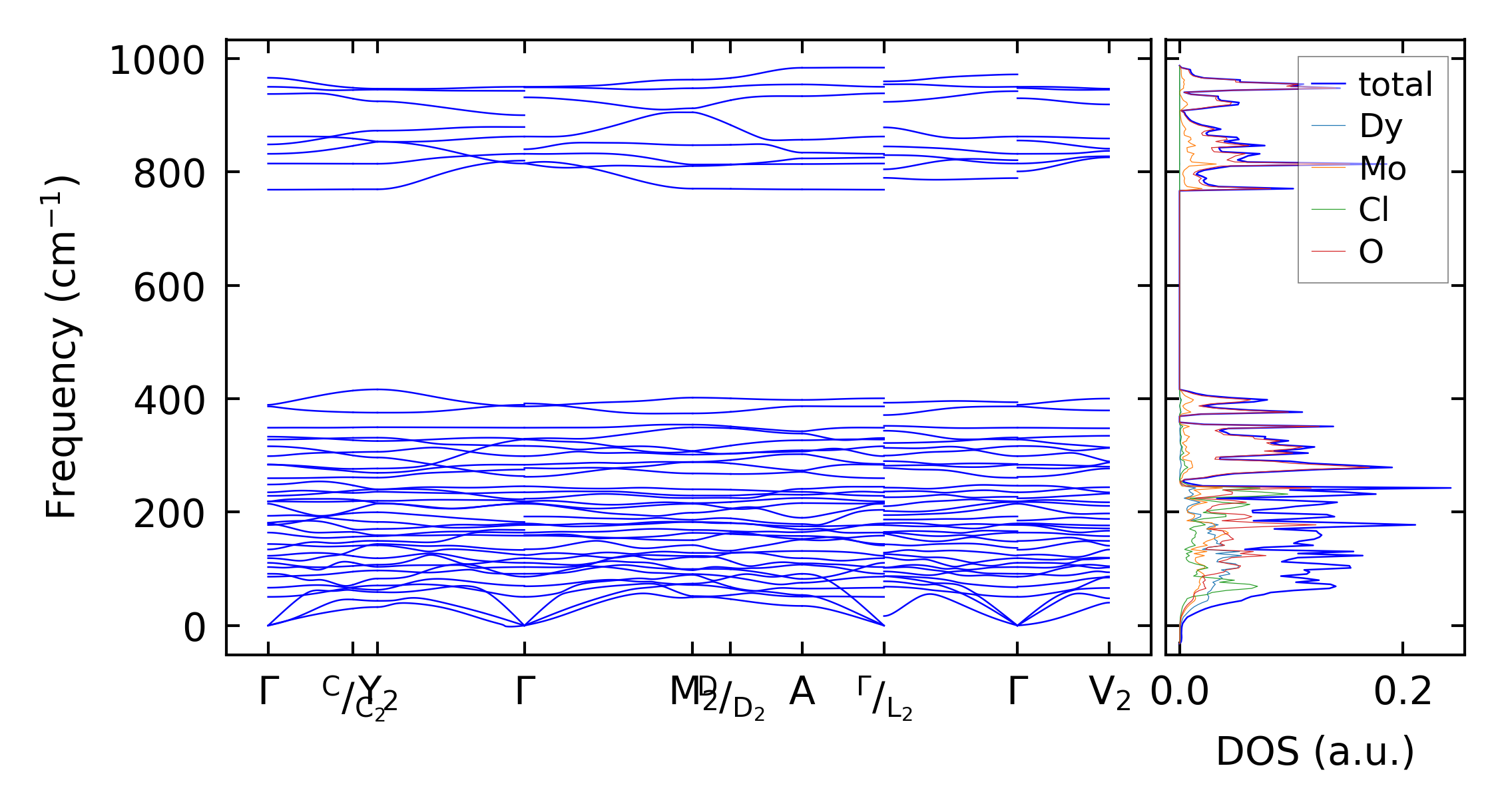
../../_images/fig_bandos12161.png

(b) Phonon dispersion and DOS

../../_images/fig_thermo8654.png

(c) Thermodynamic properties

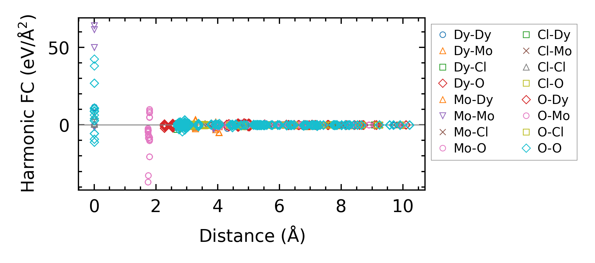
Force constants

../../_images/fig_fc28415.png

(a) Force constants w.r.t atomic distance

Summary

../../_images/fig_times15170.png

(a) Computation time