mp-15939/SrAl2B2O7/harm

Equation of state

../../_images/fig_bm7184.png

(a) Equation of state

Harmonic properties

../../_images/fig_bandos_pr14358.png

(a) Phonon dispersion with participation ratio and DOS

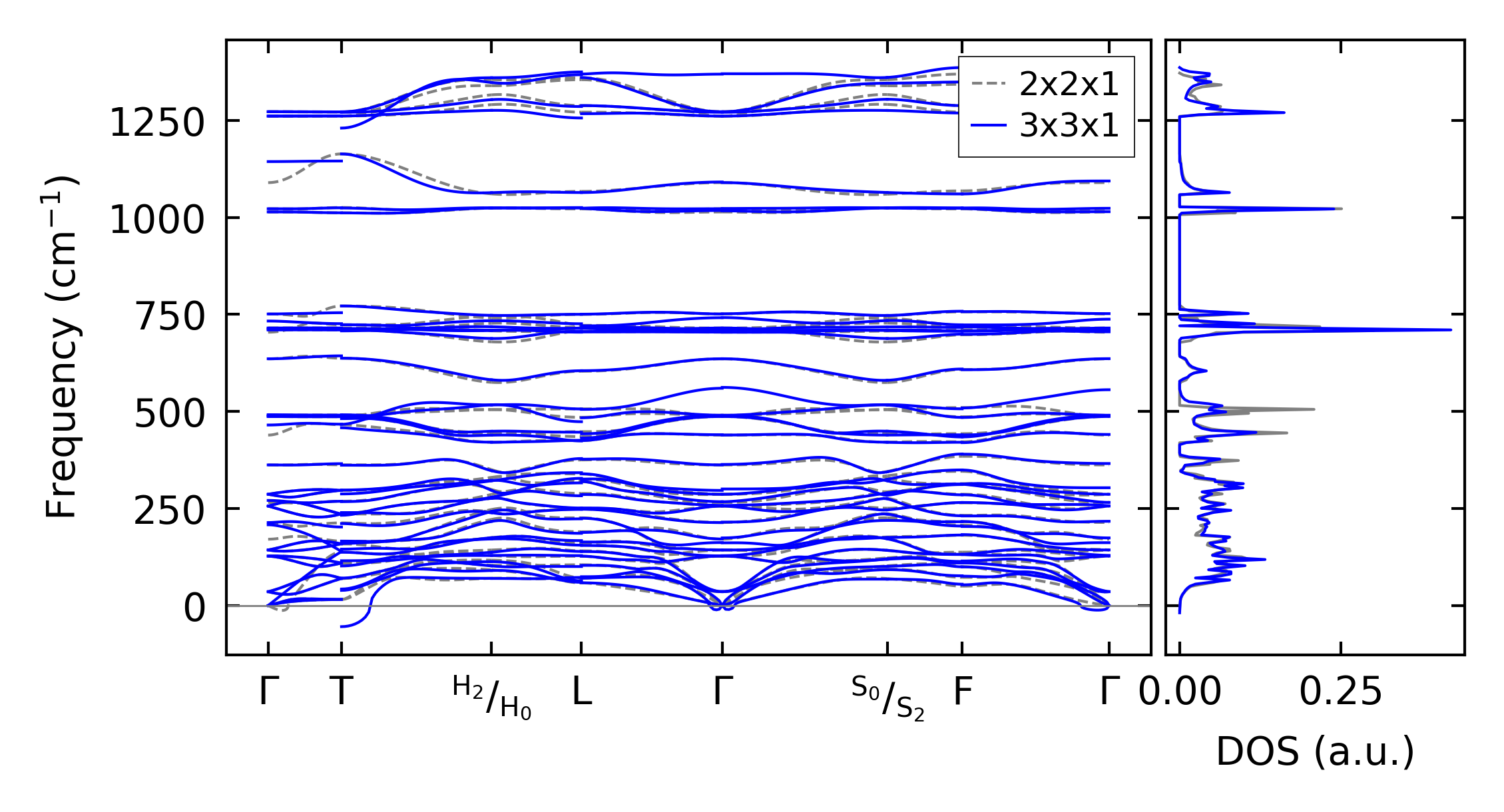
../../_images/fig_bandos18739.png

(b) Phonon dispersion and DOS

../../_images/fig_thermo14358.png

(c) Thermodynamic properties

Force constants

../../_images/fig_fc213983.png

(a) Force constants w.r.t atomic distance

Summary

../../_images/fig_times23950.png

(a) Computation time