mp-15575/Ho3Ga5O12/anharm

Harmonic properties

../../_images/fig_bandos_pr14297.png

(a) Phonon dispersion with participation ratio and DOS

../../_images/fig_thermo14297.png

(b) Thermodynamic properties

Grüneisen parameters

../../_images/fig_gru_all6089.png

(a) Grüneisen parameters

../../_images/fig_gruneisen6089.png

(b) Phonon dispersion with Grüneisen parameters

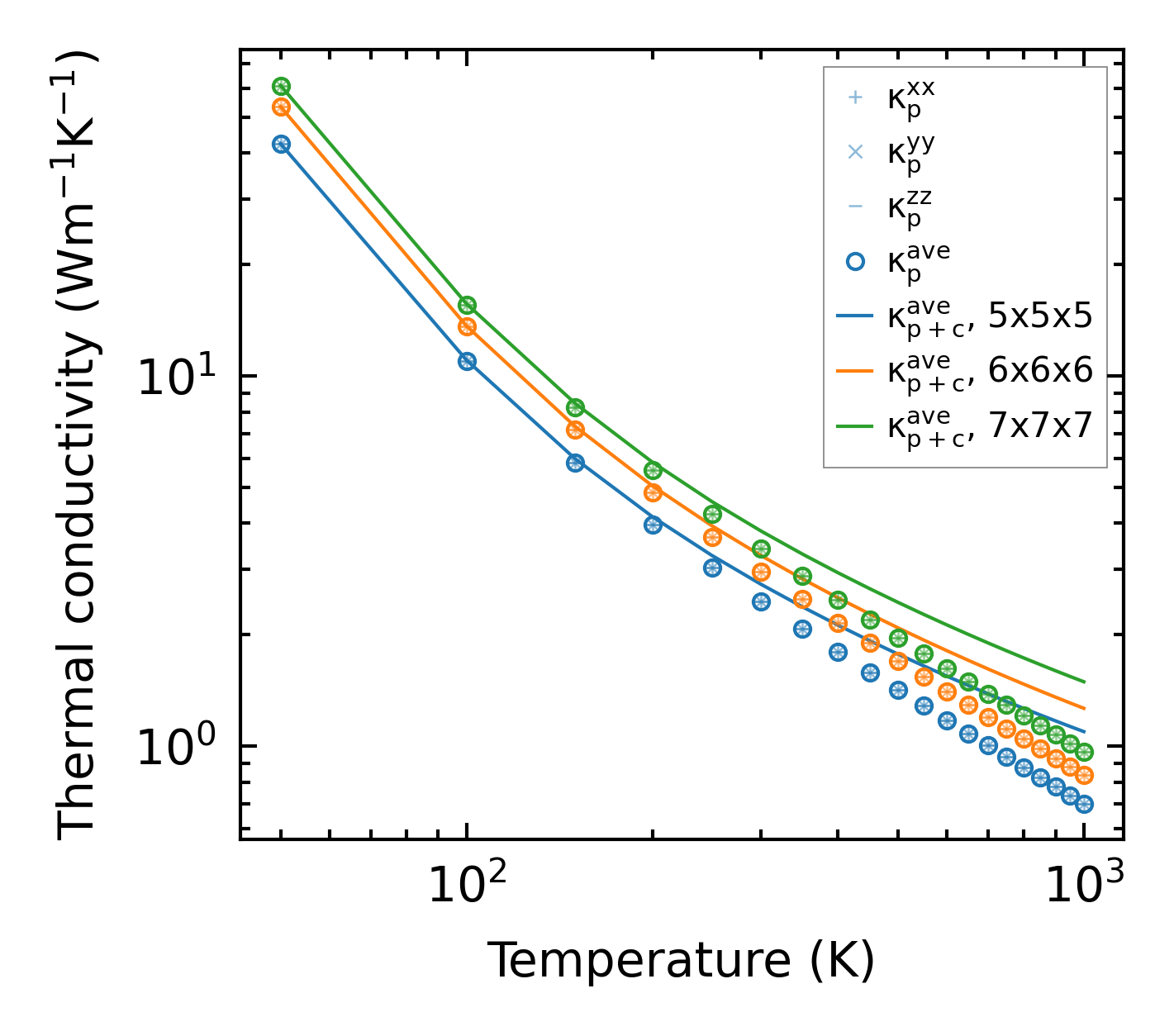
Thermal conductivity

3-phonon (LASSO) — q-mesh: 7x7x7, supercell: 1x1x1

../../_images/fig_kappa11453.png

(a) Temperature-dependent lattice thermal conductivity

../../_images/fig_kappa_vs_grain_size6167.png

(b) Peierls lattice thermal conductivity w.r.t grain size

Phonon lifetime and scattering rates

../../_images/fig_lifetime6028.png

(a) Phonon lifetime due to phonon-phonon scattering

../../_images/fig_scat_rates6027.png

(b) Phonon scattering rates

Cumulative and spectral thermal conductivity

../../_images/fig_cumu_frequency6028.png

(a) Spectral and cumulative thermal conductivity w.r.t frequency

../../_images/fig_cumu_mfp6027.png

(b) Spectral and cumulative thermal conductivity w.r.t MFP

Force constants

../../_images/fig_fc213925.png

(a) Force constants w.r.t atomic distance

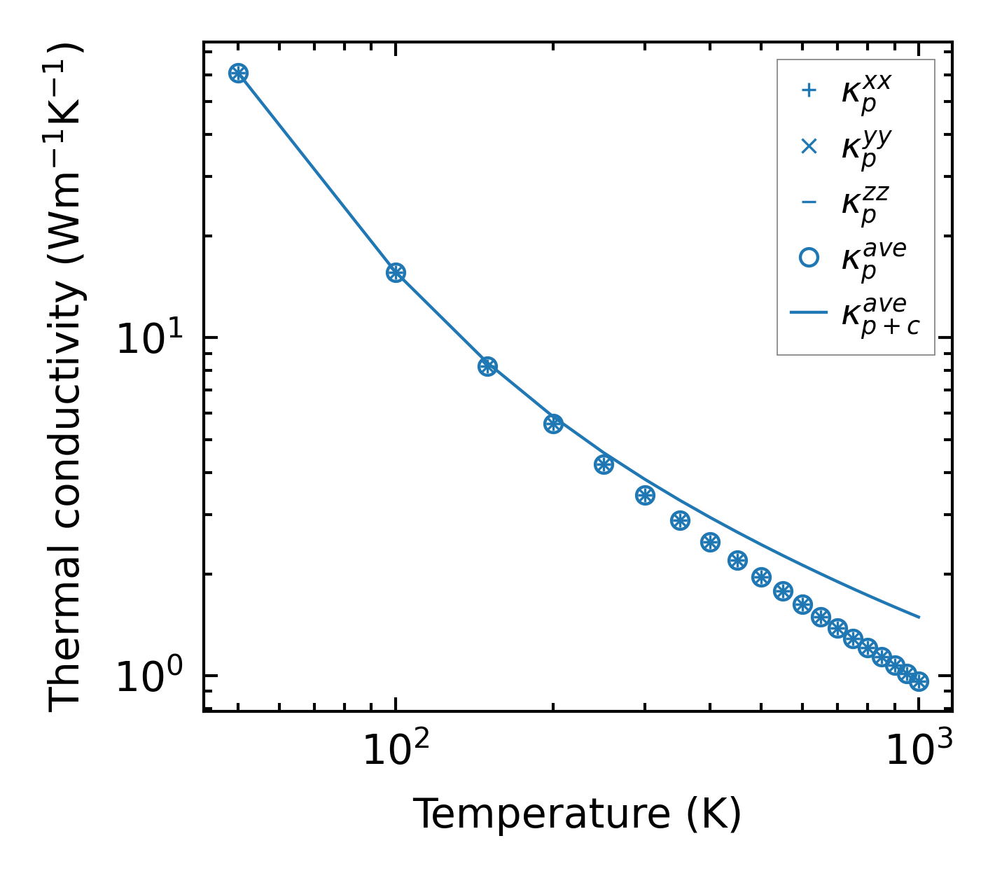
Summary

../../_images/fig_kappa11454.png

(a) Temperature-dependent lattice thermal conductivity

../../_images/fig_times23876.png

(b) Computation time