mp-15795/LiDySe2/anharm

Harmonic properties

../../_images/fig_bandos_pr14341.png

(a) Phonon dispersion with participation ratio and DOS

../../_images/fig_thermo14341.png

(b) Thermodynamic properties

Grüneisen parameters

../../_images/fig_gru_all6115.png

(a) Grüneisen parameters

../../_images/fig_gruneisen6115.png

(b) Phonon dispersion with Grüneisen parameters

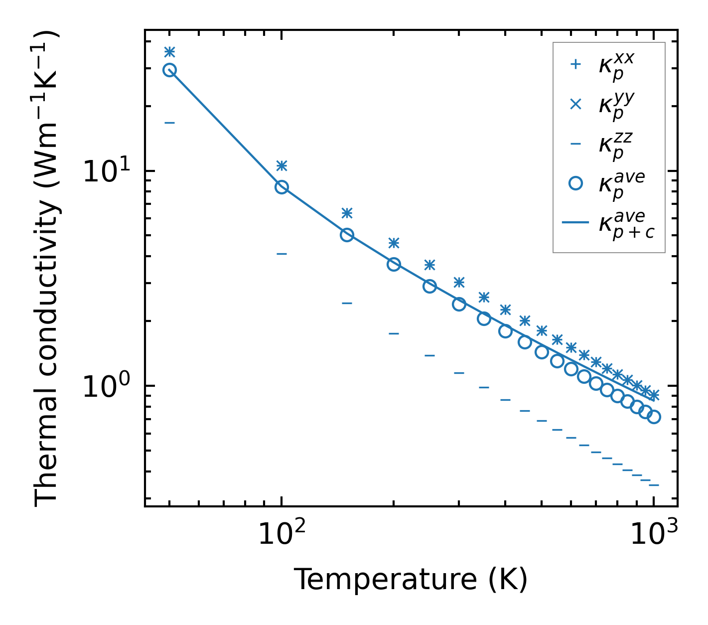
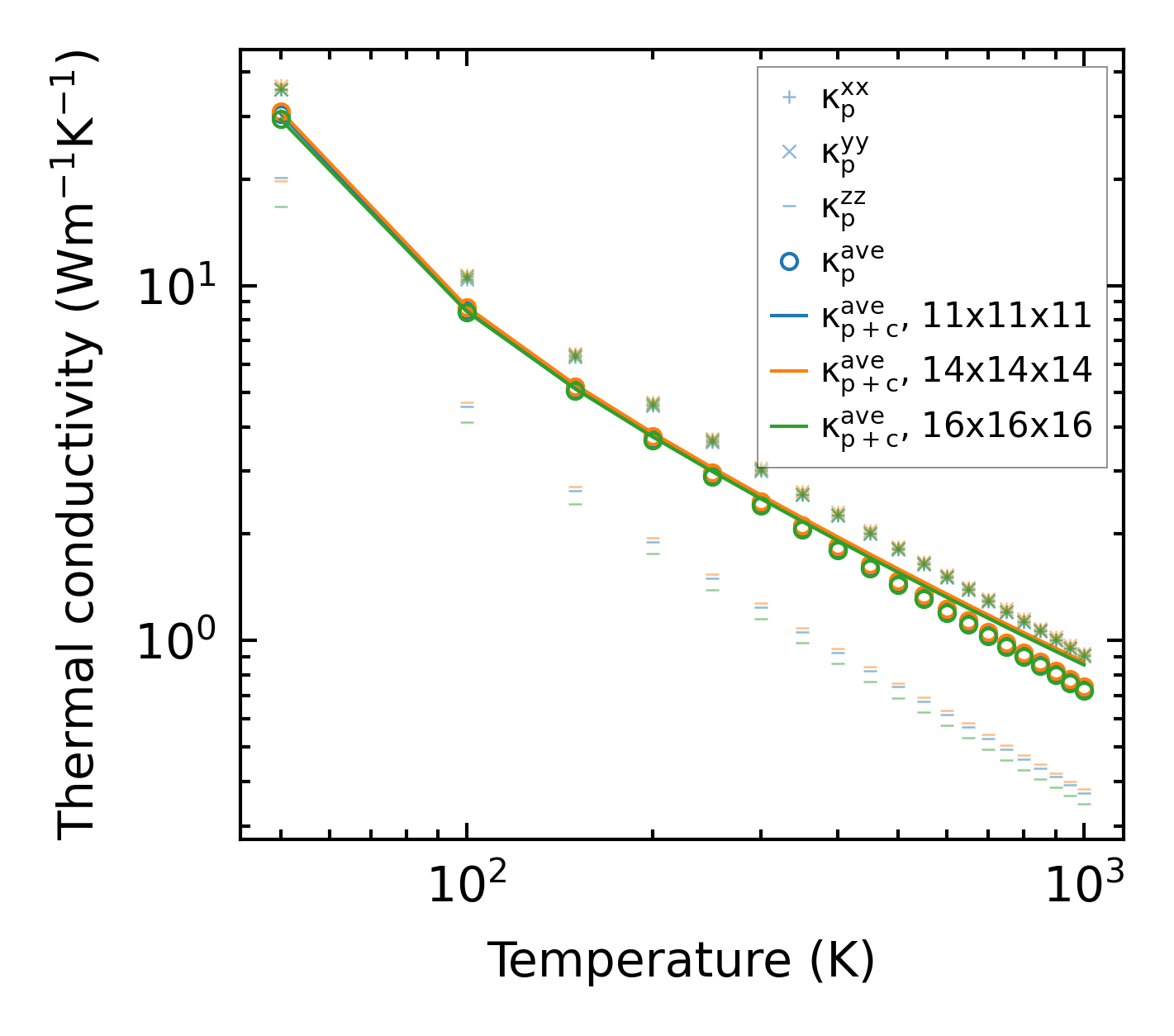
Thermal conductivity

3-phonon (LASSO) — q-mesh: 16x16x16, supercell: 3x3x1

../../_images/fig_kappa11502.png

(a) Temperature-dependent lattice thermal conductivity

../../_images/fig_kappa_vs_grain_size6193.png

(b) Peierls lattice thermal conductivity w.r.t grain size

Phonon lifetime and scattering rates

../../_images/fig_lifetime6054.png

(a) Phonon lifetime due to phonon-phonon scattering

../../_images/fig_scat_rates6053.png

(b) Phonon scattering rates

Cumulative and spectral thermal conductivity

../../_images/fig_cumu_frequency6054.png

(a) Spectral and cumulative thermal conductivity w.r.t frequency

../../_images/fig_cumu_mfp6053.png

(b) Spectral and cumulative thermal conductivity w.r.t MFP

Force constants

../../_images/fig_fc213968.png

(a) Force constants w.r.t atomic distance

Summary

../../_images/fig_kappa11503.png

(a) Temperature-dependent lattice thermal conductivity

../../_images/fig_times23932.png

(b) Computation time