mp-15416/Rb2GaAs2/anharm

Harmonic properties

../../_images/fig_bandos_pr14633.png

(a) Phonon dispersion with participation ratio and DOS

../../_images/fig_thermo14633.png

(b) Thermodynamic properties

Grüneisen parameters

../../_images/fig_gru_all6258.png

(a) Grüneisen parameters

../../_images/fig_gruneisen6258.png

(b) Phonon dispersion with Grüneisen parameters

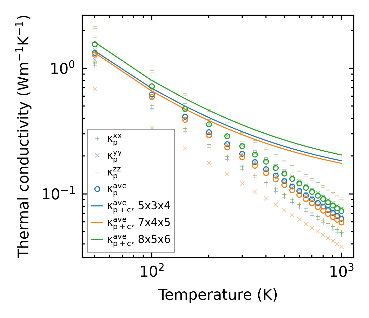
Thermal conductivity

3-phonon (LASSO) — q-mesh: 8x5x6, supercell: 2x1x1

../../_images/fig_kappa11772.png

(a) Temperature-dependent lattice thermal conductivity

../../_images/fig_kappa_vs_grain_size6335.png

(b) Peierls lattice thermal conductivity w.r.t grain size

Phonon lifetime and scattering rates

../../_images/fig_lifetime6196.png

(a) Phonon lifetime due to phonon-phonon scattering

../../_images/fig_scat_rates6195.png

(b) Phonon scattering rates

Cumulative and spectral thermal conductivity

../../_images/fig_cumu_frequency6196.png

(a) Spectral and cumulative thermal conductivity w.r.t frequency

../../_images/fig_cumu_mfp6195.png

(b) Spectral and cumulative thermal conductivity w.r.t MFP

Force constants

../../_images/fig_fc214252.png

(a) Force constants w.r.t atomic distance

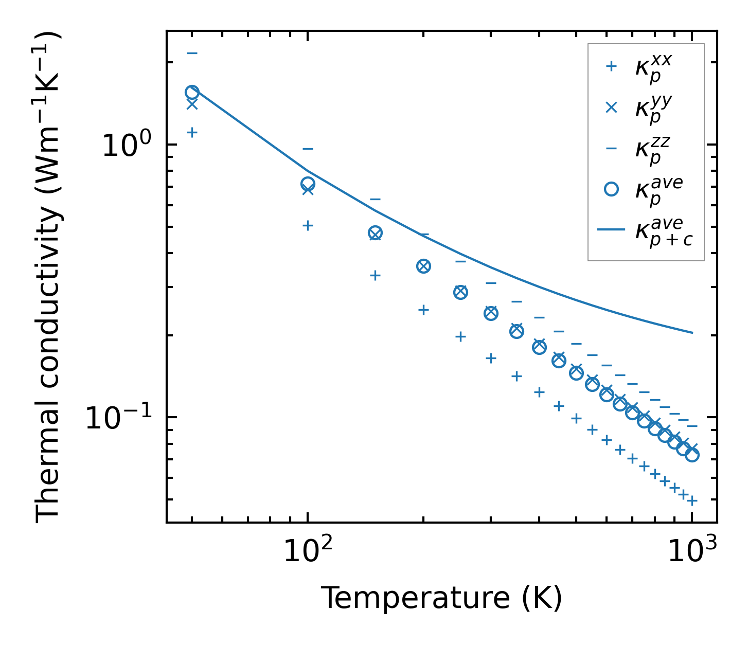
Summary

../../_images/fig_kappa11773.png

(a) Temperature-dependent lattice thermal conductivity

../../_images/fig_times24343.png

(b) Computation time