mp-15500/Sr4TiP4/anharm

Harmonic properties

../../_images/fig_bandos_pr14642.png

(a) Phonon dispersion with participation ratio and DOS

../../_images/fig_thermo14642.png

(b) Thermodynamic properties

Grüneisen parameters

../../_images/fig_gru_all6264.png

(a) Grüneisen parameters

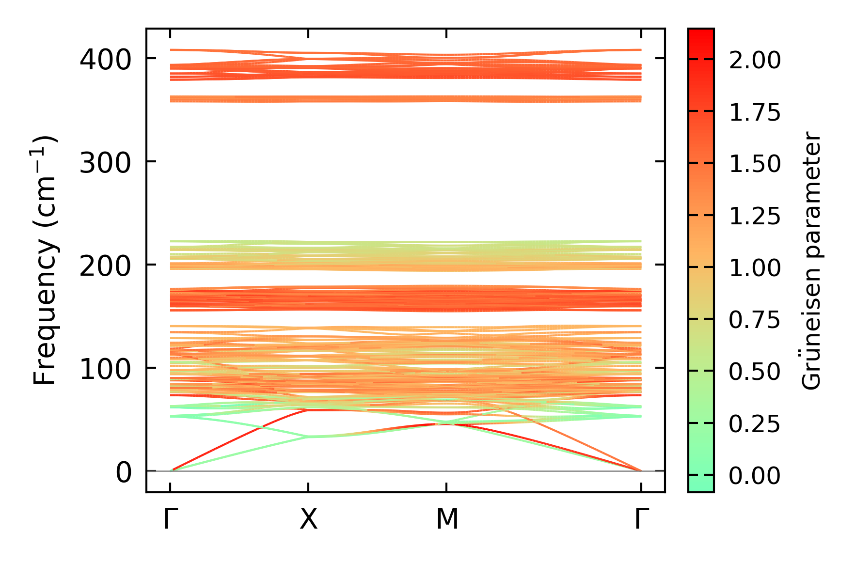
../../_images/fig_gruneisen6264.png

(b) Phonon dispersion with Grüneisen parameters

Thermal conductivity

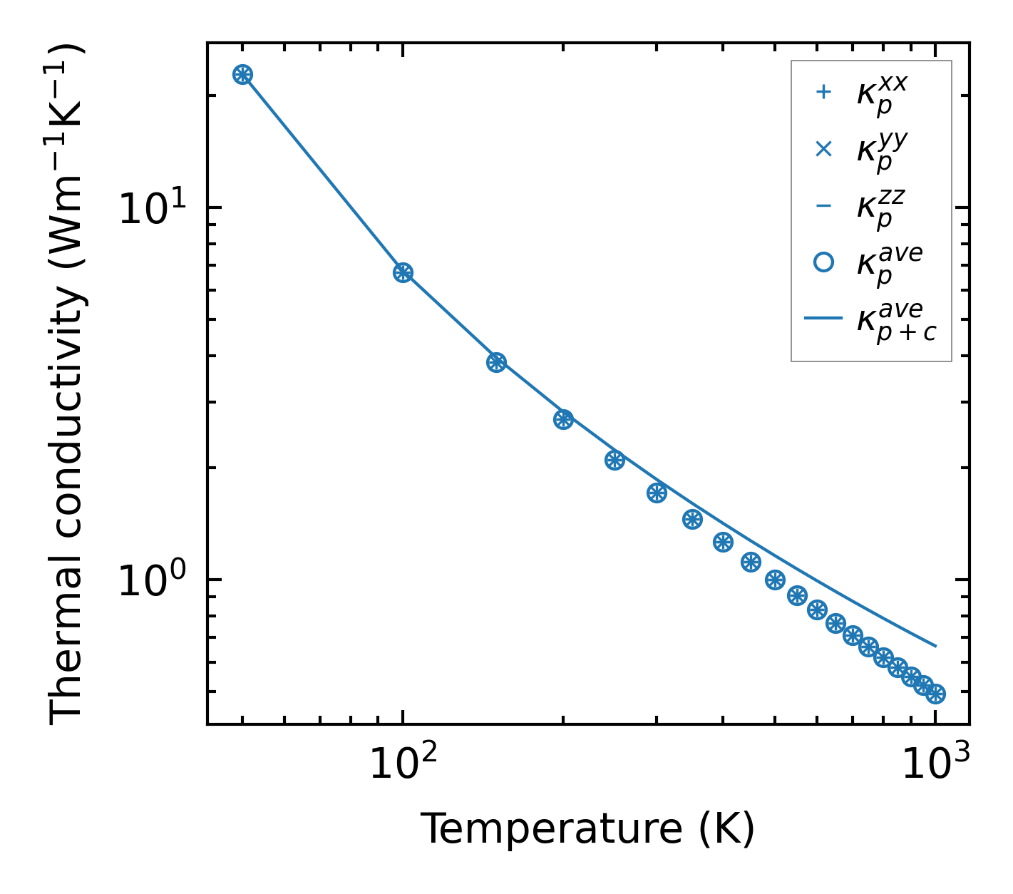
3-phonon (LASSO) — q-mesh: 5x5x5, supercell: 1x1x1

../../_images/fig_kappa11783.png

(a) Temperature-dependent lattice thermal conductivity

../../_images/fig_kappa_vs_grain_size6341.png

(b) Peierls lattice thermal conductivity w.r.t grain size

Phonon lifetime and scattering rates

../../_images/fig_lifetime6202.png

(a) Phonon lifetime due to phonon-phonon scattering

../../_images/fig_scat_rates6201.png

(b) Phonon scattering rates

Cumulative and spectral thermal conductivity

../../_images/fig_cumu_frequency6202.png

(a) Spectral and cumulative thermal conductivity w.r.t frequency

../../_images/fig_cumu_mfp6201.png

(b) Spectral and cumulative thermal conductivity w.r.t MFP

Force constants

../../_images/fig_fc214261.png

(a) Force constants w.r.t atomic distance

Summary

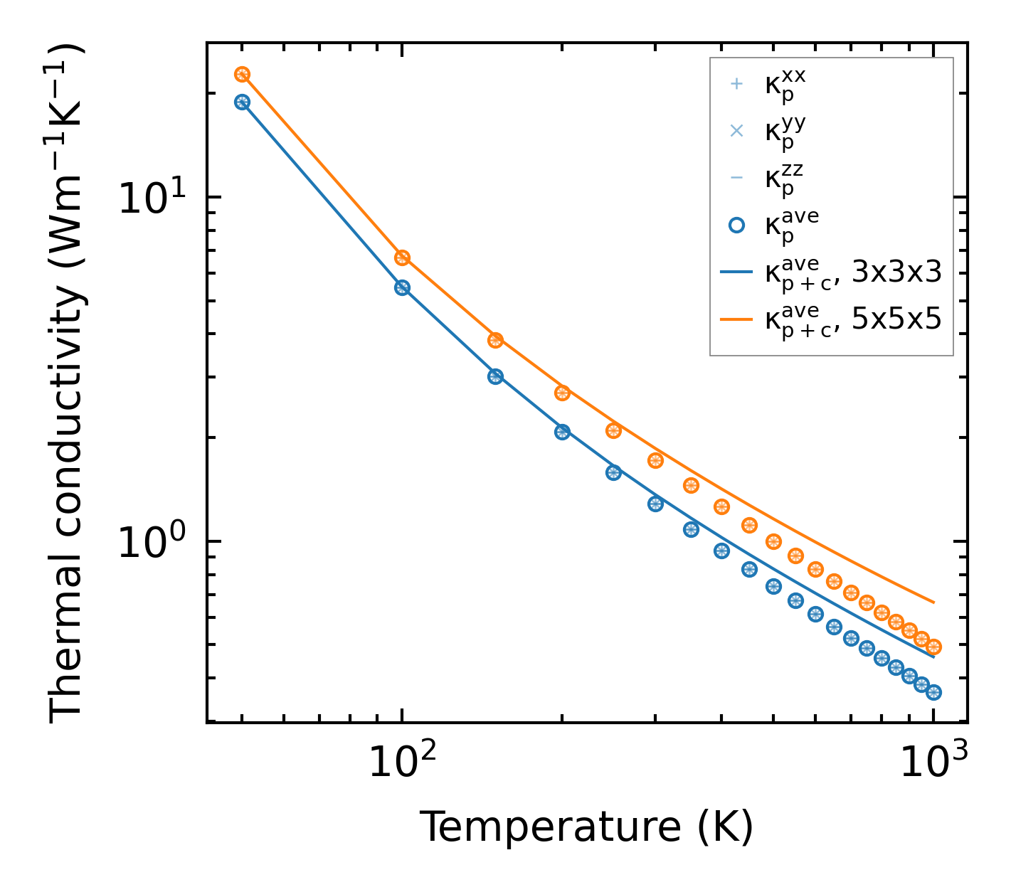
../../_images/fig_kappa11784.png

(a) Temperature-dependent lattice thermal conductivity

../../_images/fig_times24356.png

(b) Computation time