mp-15066/LiTmSiO4/anharm

Harmonic properties

../../_images/fig_bandos18959.png

(a) Phonon dispersion and DOS

Thermal conductivity

Summary

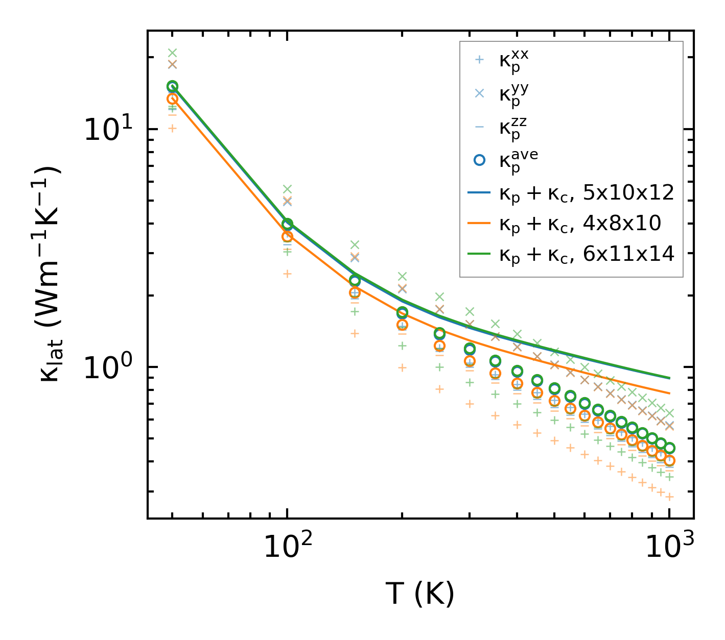
../../_images/fig_kappa11740.png

(a) Temperature-dependent lattice thermal conductivity

../../_images/fig_times24273.png

(b) Computation time