mp-15567/Na3AuS2/anharm

Harmonic properties

../../_images/fig_bandos_pr14292.png

(a) Phonon dispersion with participation ratio and DOS

../../_images/fig_thermo14292.png

(b) Thermodynamic properties

Grüneisen parameters

../../_images/fig_gru_all6086.png

(a) Grüneisen parameters

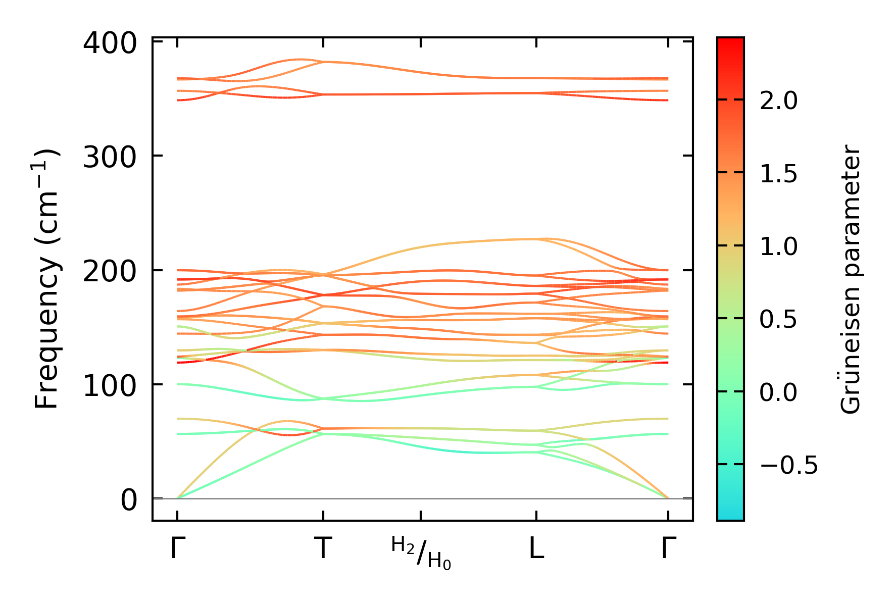
../../_images/fig_gruneisen6086.png

(b) Phonon dispersion with Grüneisen parameters

Thermal conductivity

3-phonon (LASSO) — q-mesh: 11x11x11, supercell: 2x2x1

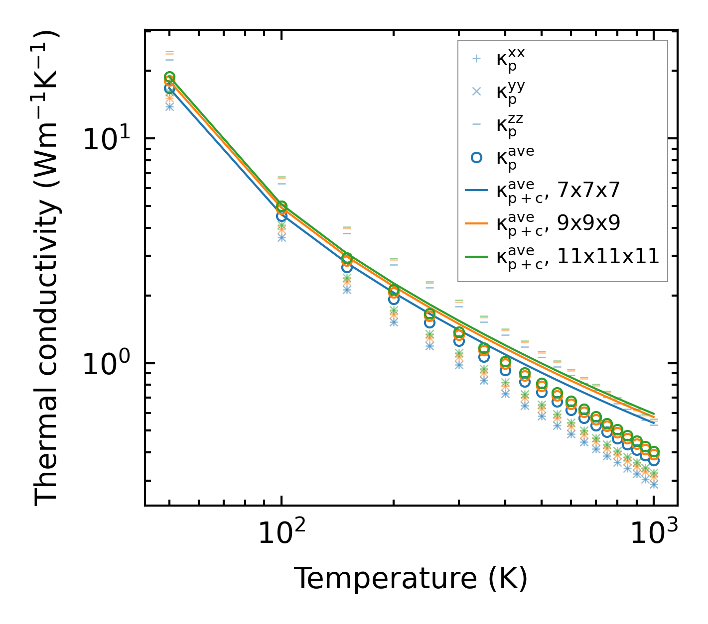
../../_images/fig_kappa11447.png

(a) Temperature-dependent lattice thermal conductivity

../../_images/fig_kappa_vs_grain_size6164.png

(b) Peierls lattice thermal conductivity w.r.t grain size

Phonon lifetime and scattering rates

../../_images/fig_lifetime6025.png

(a) Phonon lifetime due to phonon-phonon scattering

../../_images/fig_scat_rates6024.png

(b) Phonon scattering rates

Cumulative and spectral thermal conductivity

../../_images/fig_cumu_frequency6025.png

(a) Spectral and cumulative thermal conductivity w.r.t frequency

../../_images/fig_cumu_mfp6024.png

(b) Spectral and cumulative thermal conductivity w.r.t MFP

Force constants

../../_images/fig_fc213920.png

(a) Force constants w.r.t atomic distance

Summary

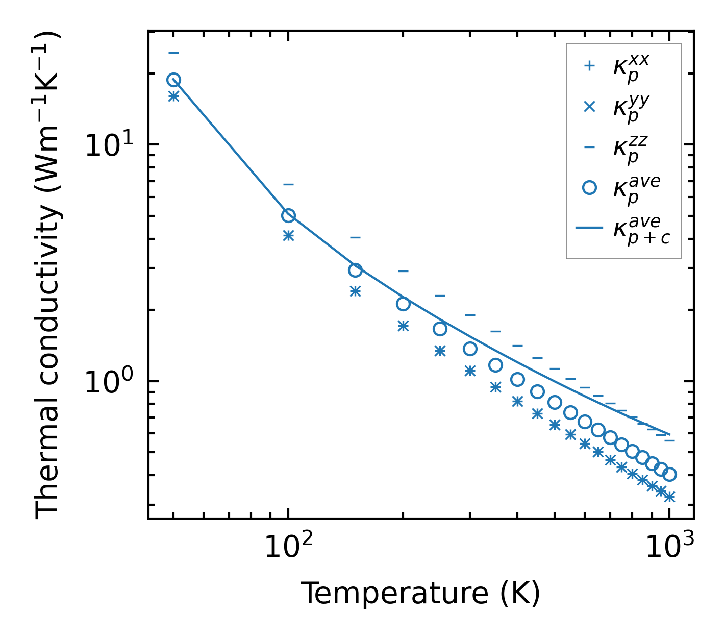
../../_images/fig_kappa11448.png

(a) Temperature-dependent lattice thermal conductivity

../../_images/fig_times23871.png

(b) Computation time