mp-15113/Na2Si3O7/anharm

Harmonic properties

../../_images/fig_bandos_pr14596.png

(a) Phonon dispersion with participation ratio and DOS

../../_images/fig_thermo14596.png

(b) Thermodynamic properties

Grüneisen parameters

../../_images/fig_gru_all6246.png

(a) Grüneisen parameters

../../_images/fig_gruneisen6246.png

(b) Phonon dispersion with Grüneisen parameters

Thermal conductivity

3-phonon (LASSO) — q-mesh: 15x15x6, supercell: 1x2x1

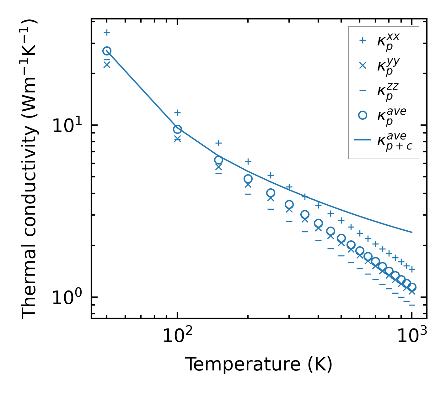
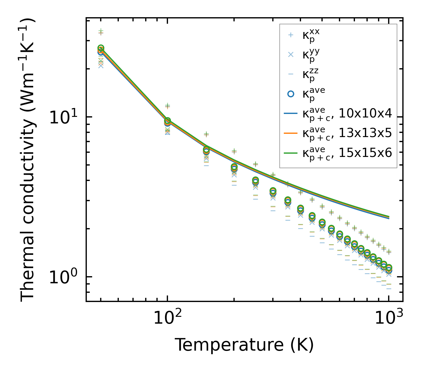
../../_images/fig_kappa11750.png

(a) Temperature-dependent lattice thermal conductivity

../../_images/fig_kappa_vs_grain_size6323.png

(b) Peierls lattice thermal conductivity w.r.t grain size

Phonon lifetime and scattering rates

../../_images/fig_lifetime6184.png

(a) Phonon lifetime due to phonon-phonon scattering

../../_images/fig_scat_rates6183.png

(b) Phonon scattering rates

Cumulative and spectral thermal conductivity

../../_images/fig_cumu_frequency6184.png

(a) Spectral and cumulative thermal conductivity w.r.t frequency

../../_images/fig_cumu_mfp6183.png

(b) Spectral and cumulative thermal conductivity w.r.t MFP

Force constants

../../_images/fig_fc214215.png

(a) Force constants w.r.t atomic distance

Summary

../../_images/fig_kappa11751.png

(a) Temperature-dependent lattice thermal conductivity

../../_images/fig_times24294.png

(b) Computation time