mp-15312-2/Ca4Al6TeO12/anharm

Equation of state

../../_images/fig_bm7312.png

(a) Equation of state

Harmonic properties

../../_images/fig_bandos_pr14621.png

(a) Phonon dispersion with participation ratio and DOS

../../_images/fig_bandos18999.png

(b) Phonon dispersion and DOS

../../_images/fig_thermo14621.png

(c) Thermodynamic properties

Grüneisen parameters

../../_images/fig_gru_all6254.png

(a) Grüneisen parameters

../../_images/fig_gruneisen6254.png

(b) Phonon dispersion with Grüneisen parameters

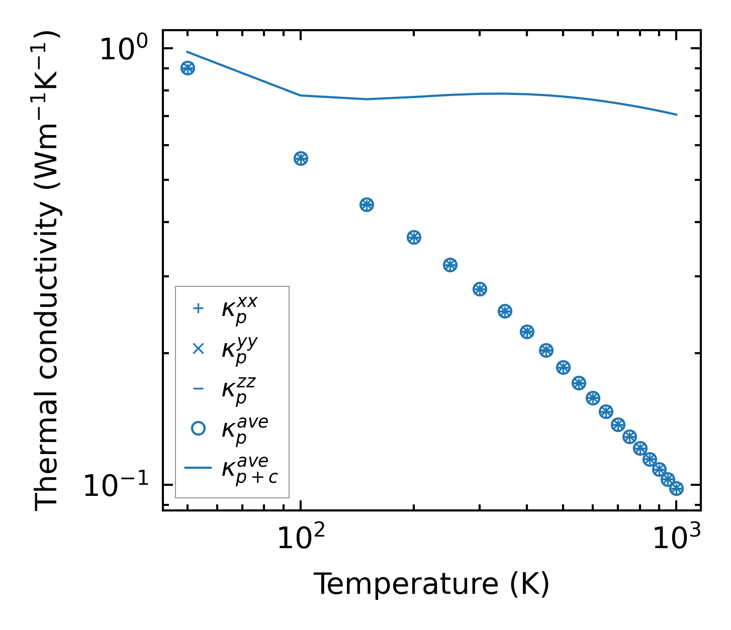
Thermal conductivity

3-phonon (LASSO), supercell 2x2x2 — q-mesh: 9x9x9, supercell: 2x2x2

../../_images/fig_kappa11766.png

(a) Temperature-dependent lattice thermal conductivity

../../_images/fig_kappa_vs_grain_size6331.png

(b) Peierls lattice thermal conductivity w.r.t grain size

Phonon lifetime and scattering rates

../../_images/fig_lifetime6192.png

(a) Phonon lifetime due to phonon-phonon scattering

../../_images/fig_scat_rates6191.png

(b) Phonon scattering rates

Cumulative and spectral thermal conductivity

../../_images/fig_cumu_frequency6192.png

(a) Spectral and cumulative thermal conductivity w.r.t frequency

../../_images/fig_cumu_mfp6191.png

(b) Spectral and cumulative thermal conductivity w.r.t MFP

Force constants

../../_images/fig_fc214240.png

(a) Force constants w.r.t atomic distance

Summary

../../_images/fig_times24325.png

(a) Computation time