mp-15179/Pr2S3/anharm

Harmonic properties

../../_images/fig_bandos_pr14607.png

(a) Phonon dispersion with participation ratio and DOS

../../_images/fig_thermo14607.png

(b) Thermodynamic properties

Grüneisen parameters

../../_images/fig_gru_all6249.png

(a) Grüneisen parameters

../../_images/fig_gruneisen6249.png

(b) Phonon dispersion with Grüneisen parameters

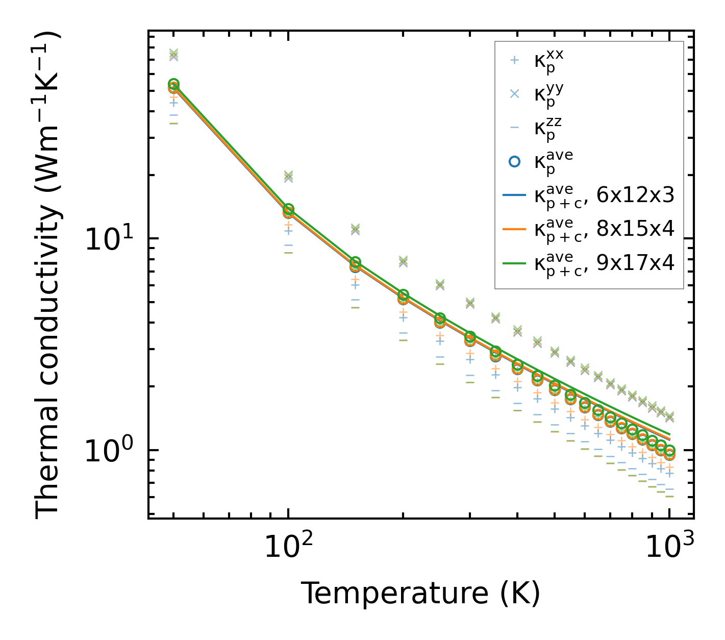
Thermal conductivity

3-phonon (LASSO) — q-mesh: 9x17x4, supercell: 2x3x1

../../_images/fig_kappa11756.png

(a) Temperature-dependent lattice thermal conductivity

../../_images/fig_kappa_vs_grain_size6326.png

(b) Peierls lattice thermal conductivity w.r.t grain size

Phonon lifetime and scattering rates

../../_images/fig_lifetime6187.png

(a) Phonon lifetime due to phonon-phonon scattering

../../_images/fig_scat_rates6186.png

(b) Phonon scattering rates

Cumulative and spectral thermal conductivity

../../_images/fig_cumu_frequency6187.png

(a) Spectral and cumulative thermal conductivity w.r.t frequency

../../_images/fig_cumu_mfp6186.png

(b) Spectral and cumulative thermal conductivity w.r.t MFP

Force constants

../../_images/fig_fc214226.png

(a) Force constants w.r.t atomic distance

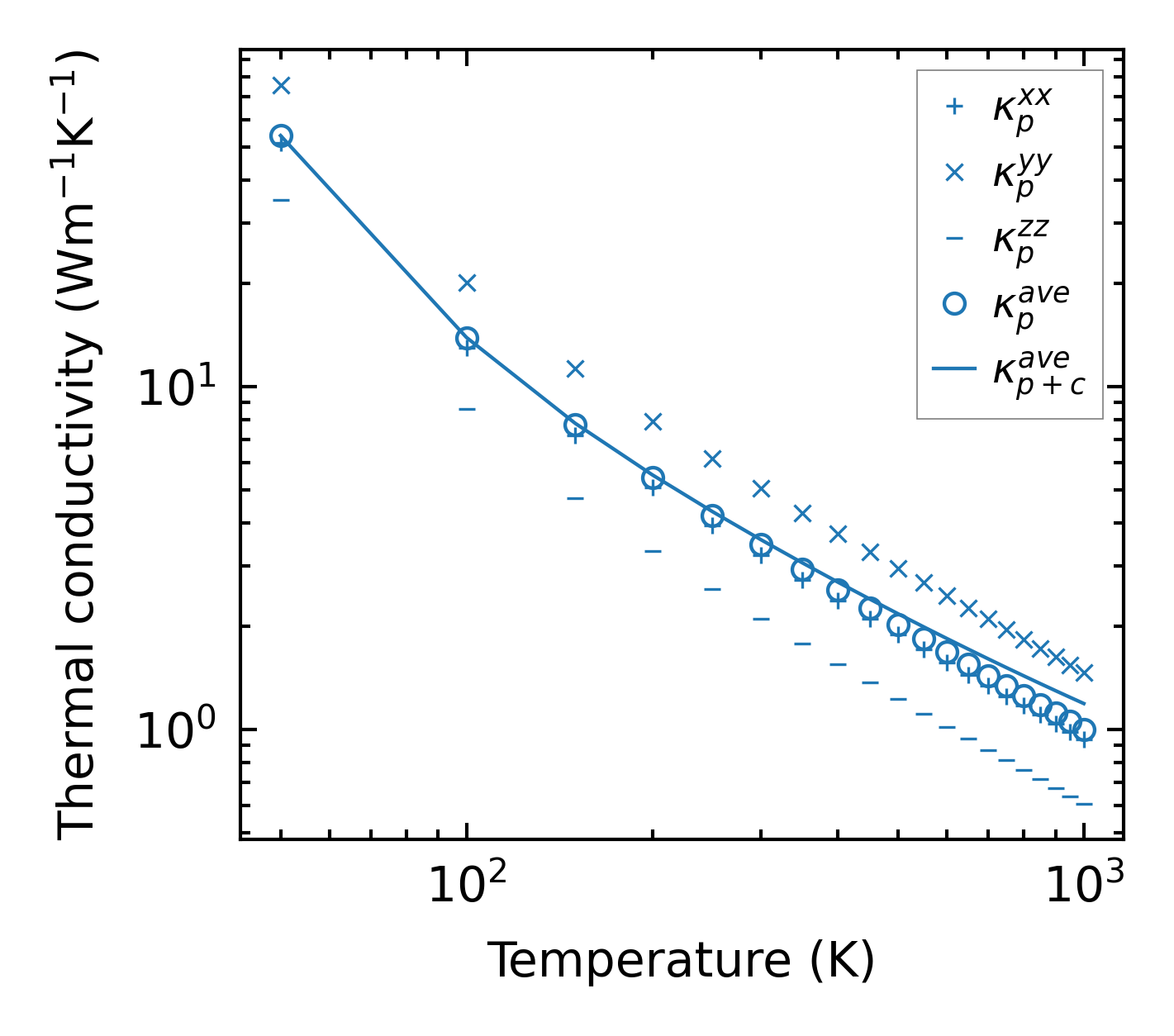
Summary

../../_images/fig_kappa11757.png

(a) Temperature-dependent lattice thermal conductivity

../../_images/fig_times24305.png

(b) Computation time