mp-15791/LiErS2/anharm

Harmonic properties

../../_images/fig_bandos_pr14338.png

(a) Phonon dispersion with participation ratio and DOS

../../_images/fig_thermo14338.png

(b) Thermodynamic properties

Grüneisen parameters

../../_images/fig_gru_all6112.png

(a) Grüneisen parameters

../../_images/fig_gruneisen6112.png

(b) Phonon dispersion with Grüneisen parameters

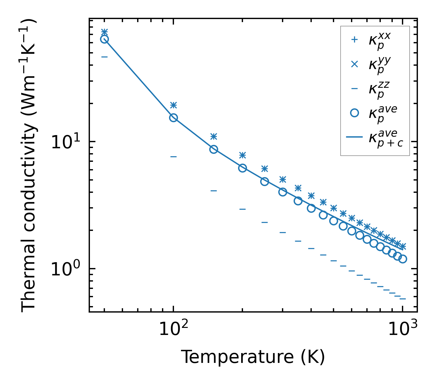
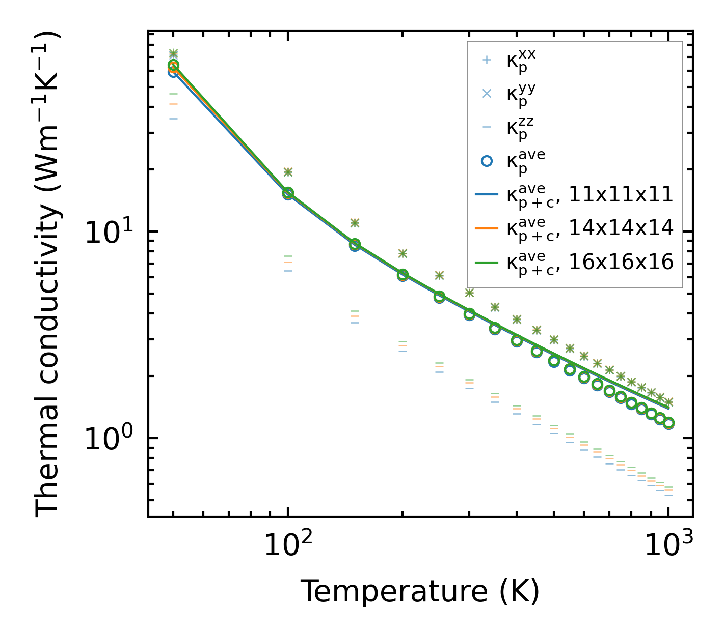
Thermal conductivity

3-phonon (LASSO) — q-mesh: 16x16x16, supercell: 3x3x1

../../_images/fig_kappa11496.png

(a) Temperature-dependent lattice thermal conductivity

../../_images/fig_kappa_vs_grain_size6190.png

(b) Peierls lattice thermal conductivity w.r.t grain size

Phonon lifetime and scattering rates

../../_images/fig_lifetime6051.png

(a) Phonon lifetime due to phonon-phonon scattering

../../_images/fig_scat_rates6050.png

(b) Phonon scattering rates

Cumulative and spectral thermal conductivity

../../_images/fig_cumu_frequency6051.png

(a) Spectral and cumulative thermal conductivity w.r.t frequency

../../_images/fig_cumu_mfp6050.png

(b) Spectral and cumulative thermal conductivity w.r.t MFP

Force constants

../../_images/fig_fc213965.png

(a) Force constants w.r.t atomic distance

Summary

../../_images/fig_kappa11497.png

(a) Temperature-dependent lattice thermal conductivity

../../_images/fig_times23929.png

(b) Computation time