mp-15777/ZnGa2Te4/anharm

Equation of state

../../_images/fig_bm7180.png

(a) Equation of state

Harmonic properties

../../_images/fig_bandos_pr14328.png

(a) Phonon dispersion with participation ratio and DOS

../../_images/fig_thermo14328.png

(b) Thermodynamic properties

Grüneisen parameters

../../_images/fig_gru_all6102.png

(a) Grüneisen parameters

../../_images/fig_gruneisen6102.png

(b) Phonon dispersion with Grüneisen parameters

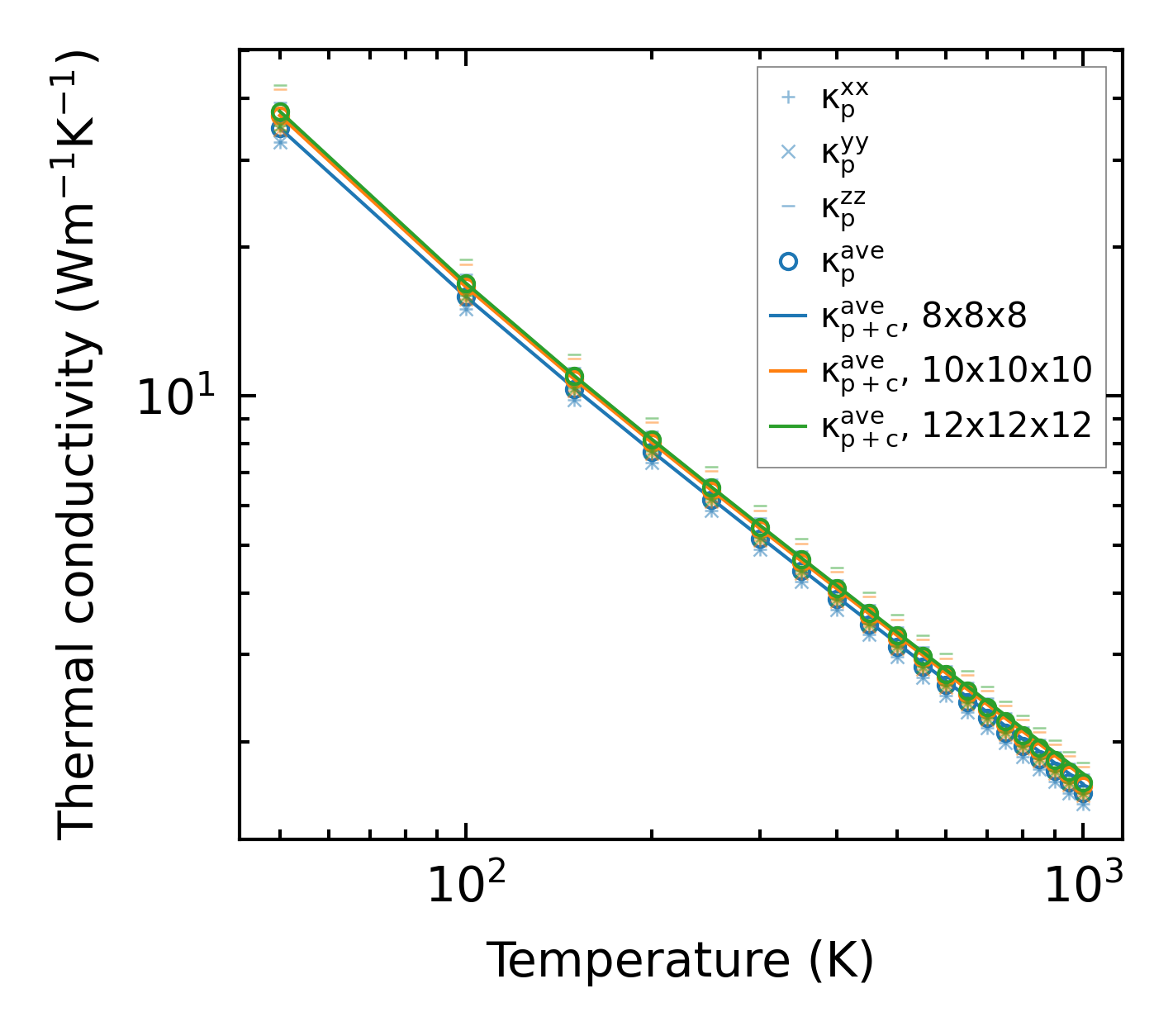
Thermal conductivity

3-phonon (LASSO) — q-mesh: 12x12x12, supercell: 2x2x2

../../_images/fig_kappa11476.png

(a) Temperature-dependent lattice thermal conductivity

../../_images/fig_kappa_vs_grain_size6180.png

(b) Peierls lattice thermal conductivity w.r.t grain size

Phonon lifetime and scattering rates

../../_images/fig_lifetime6041.png

(a) Phonon lifetime due to phonon-phonon scattering

../../_images/fig_scat_rates6040.png

(b) Phonon scattering rates

Cumulative and spectral thermal conductivity

../../_images/fig_cumu_frequency6041.png

(a) Spectral and cumulative thermal conductivity w.r.t frequency

../../_images/fig_cumu_mfp6040.png

(b) Spectral and cumulative thermal conductivity w.r.t MFP

Force constants

../../_images/fig_fc213955.png

(a) Force constants w.r.t atomic distance

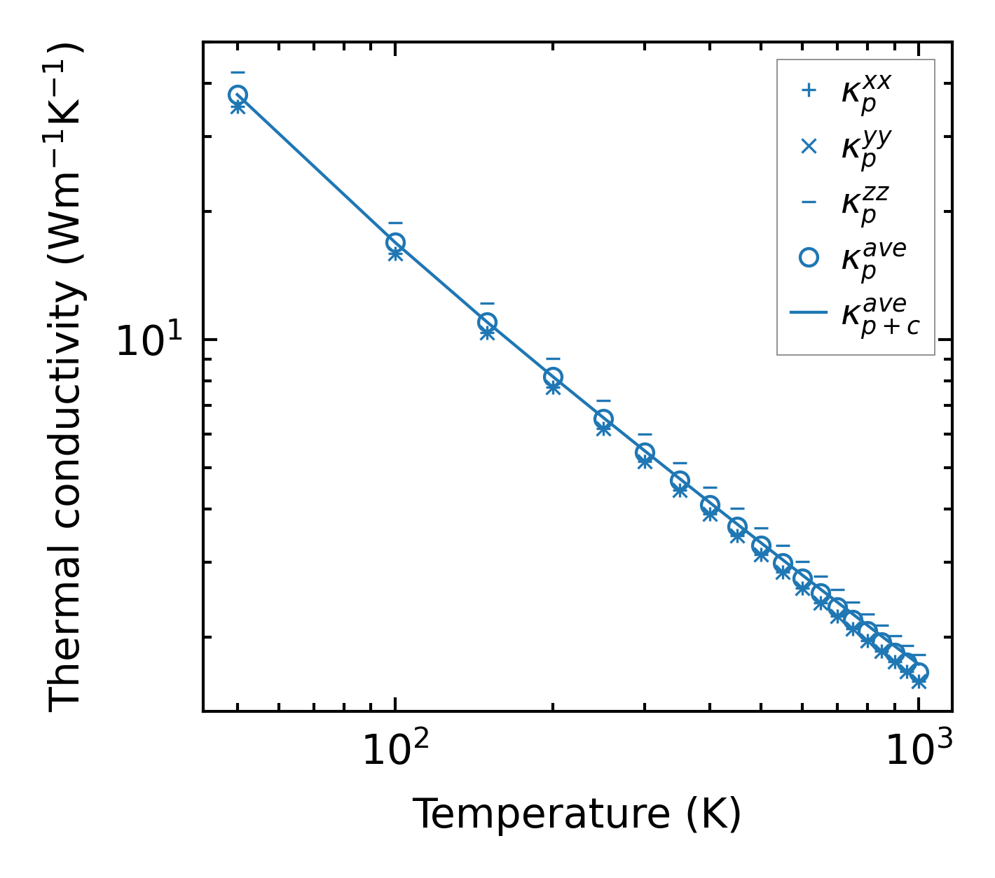
Summary

../../_images/fig_kappa11477.png

(a) Temperature-dependent lattice thermal conductivity

../../_images/fig_times23919.png

(b) Computation time