mp-15239/Nd3Ga5O12/anharm

Harmonic properties

../../_images/fig_bandos_pr14611.png

(a) Phonon dispersion with participation ratio and DOS

../../_images/fig_thermo14611.png

(b) Thermodynamic properties

Grüneisen parameters

../../_images/fig_gru_all6250.png

(a) Grüneisen parameters

../../_images/fig_gruneisen6250.png

(b) Phonon dispersion with Grüneisen parameters

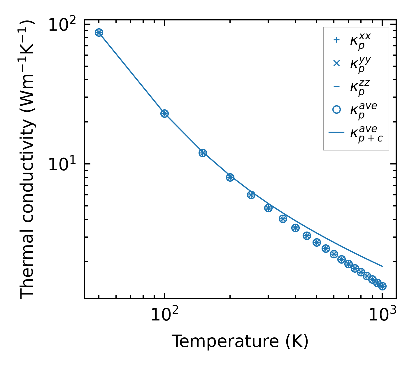
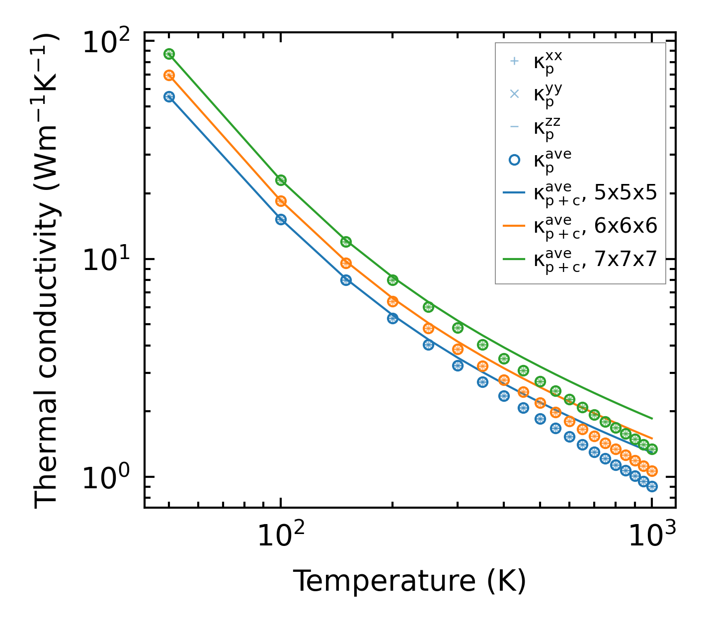
Thermal conductivity

3-phonon (LASSO) — q-mesh: 7x7x7, supercell: 1x1x1

../../_images/fig_kappa11758.png

(a) Temperature-dependent lattice thermal conductivity

../../_images/fig_kappa_vs_grain_size6327.png

(b) Peierls lattice thermal conductivity w.r.t grain size

Phonon lifetime and scattering rates

../../_images/fig_lifetime6188.png

(a) Phonon lifetime due to phonon-phonon scattering

../../_images/fig_scat_rates6187.png

(b) Phonon scattering rates

Cumulative and spectral thermal conductivity

../../_images/fig_cumu_frequency6188.png

(a) Spectral and cumulative thermal conductivity w.r.t frequency

../../_images/fig_cumu_mfp6187.png

(b) Spectral and cumulative thermal conductivity w.r.t MFP

Force constants

../../_images/fig_fc214230.png

(a) Force constants w.r.t atomic distance

Summary

../../_images/fig_kappa11759.png

(a) Temperature-dependent lattice thermal conductivity

../../_images/fig_times24315.png

(b) Computation time