mp-15897/La4Si2S3O7/anharm

Harmonic properties

../../_images/fig_bandos_pr14354.png

(a) Phonon dispersion with participation ratio and DOS

../../_images/fig_thermo14354.png

(b) Thermodynamic properties

Grüneisen parameters

../../_images/fig_gru_all6124.png

(a) Grüneisen parameters

../../_images/fig_gruneisen6124.png

(b) Phonon dispersion with Grüneisen parameters

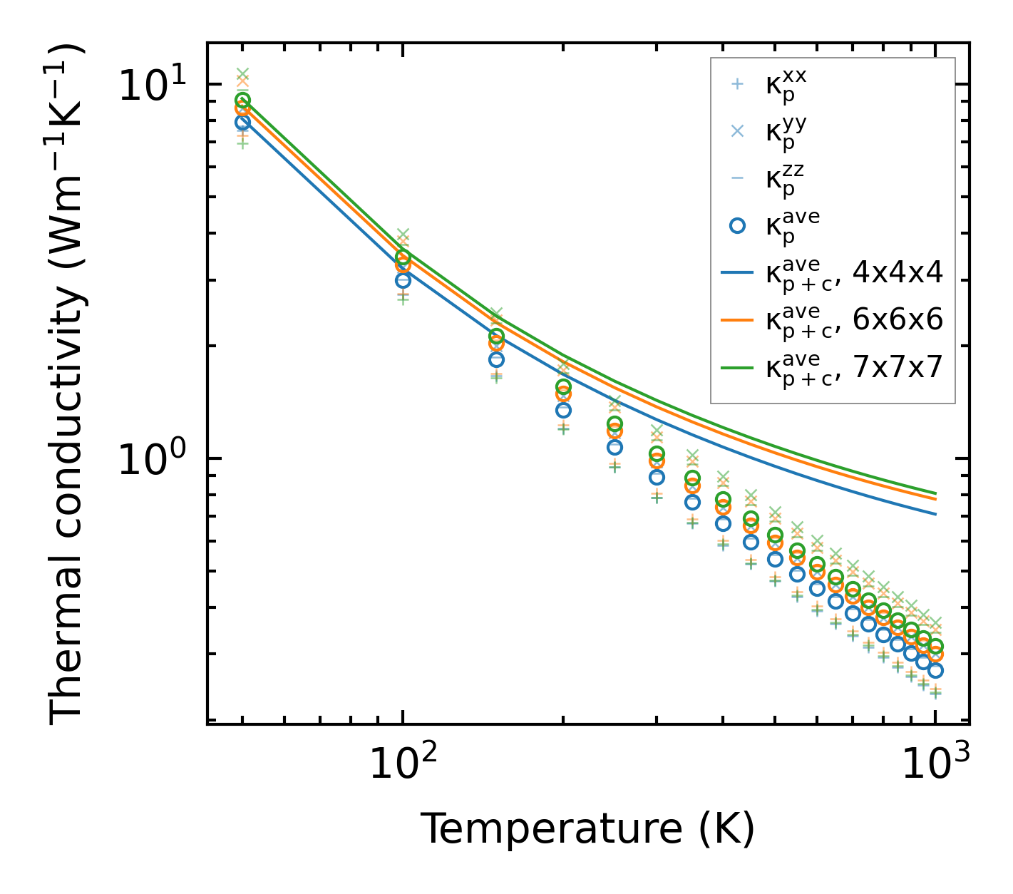
Thermal conductivity

3-phonon (LASSO) — q-mesh: 7x7x7, supercell: 1x1x1

../../_images/fig_kappa11519.png

(a) Temperature-dependent lattice thermal conductivity

../../_images/fig_kappa_vs_grain_size6202.png

(b) Peierls lattice thermal conductivity w.r.t grain size

Phonon lifetime and scattering rates

../../_images/fig_lifetime6063.png

(a) Phonon lifetime due to phonon-phonon scattering

../../_images/fig_scat_rates6062.png

(b) Phonon scattering rates

Cumulative and spectral thermal conductivity

../../_images/fig_cumu_frequency6063.png

(a) Spectral and cumulative thermal conductivity w.r.t frequency

../../_images/fig_cumu_mfp6062.png

(b) Spectral and cumulative thermal conductivity w.r.t MFP

Force constants

../../_images/fig_fc213979.png

(a) Force constants w.r.t atomic distance

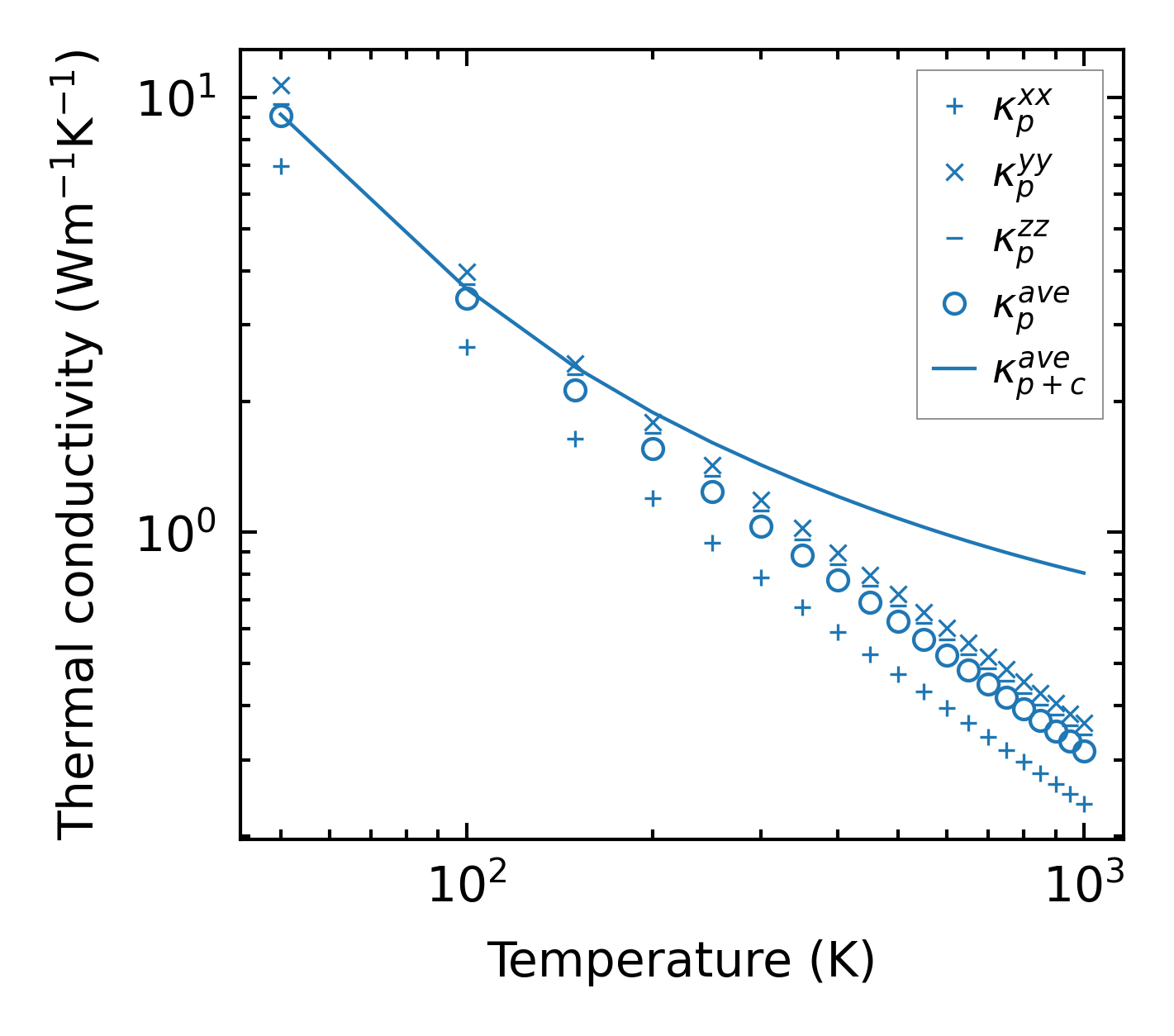
Summary

../../_images/fig_kappa11520.png

(a) Temperature-dependent lattice thermal conductivity

../../_images/fig_times23946.png

(b) Computation time