mp-15704/BeSiN2/anharm

Harmonic properties

../../_images/fig_bandos_pr14316.png

(a) Phonon dispersion with participation ratio and DOS

../../_images/fig_thermo14316.png

(b) Thermodynamic properties

Grüneisen parameters

../../_images/fig_gru_all6099.png

(a) Grüneisen parameters

../../_images/fig_gruneisen6099.png

(b) Phonon dispersion with Grüneisen parameters

Thermal conductivity

3-phonon (LASSO) — q-mesh: 17x17x17, supercell: 3x3x1

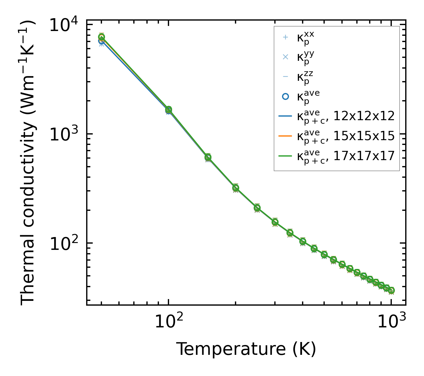
../../_images/fig_kappa11470.png

(a) Temperature-dependent lattice thermal conductivity

../../_images/fig_kappa_vs_grain_size6177.png

(b) Peierls lattice thermal conductivity w.r.t grain size

Phonon lifetime and scattering rates

../../_images/fig_lifetime6038.png

(a) Phonon lifetime due to phonon-phonon scattering

../../_images/fig_scat_rates6037.png

(b) Phonon scattering rates

Cumulative and spectral thermal conductivity

../../_images/fig_cumu_frequency6038.png

(a) Spectral and cumulative thermal conductivity w.r.t frequency

../../_images/fig_cumu_mfp6037.png

(b) Spectral and cumulative thermal conductivity w.r.t MFP

Force constants

../../_images/fig_fc213944.png

(a) Force constants w.r.t atomic distance

Summary

../../_images/fig_kappa11471.png

(a) Temperature-dependent lattice thermal conductivity

../../_images/fig_times23900.png

(b) Computation time