mp-15066-2/LiTmSiO4/anharm

Equation of state

../../_images/fig_bm7294.png

(a) Equation of state

Harmonic properties

../../_images/fig_bandos_pr14581.png

(a) Phonon dispersion with participation ratio and DOS

../../_images/fig_thermo14581.png

(b) Thermodynamic properties

Grüneisen parameters

../../_images/fig_gru_all6241.png

(a) Grüneisen parameters

../../_images/fig_gruneisen6241.png

(b) Phonon dispersion with Grüneisen parameters

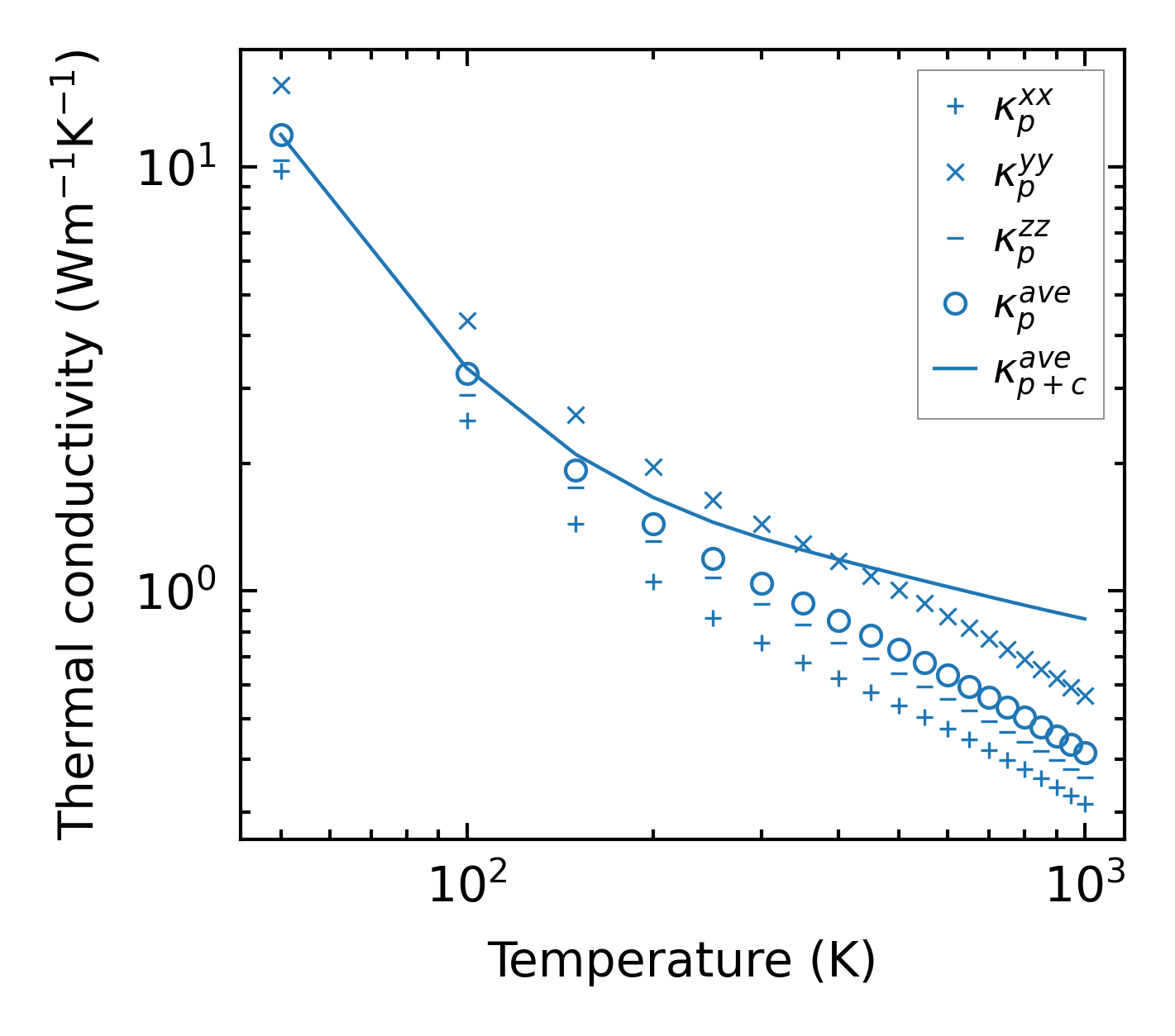
Thermal conductivity

3-phonon (LASSO) — q-mesh: 6x11x14, supercell: 1x2x2

../../_images/fig_kappa11741.png

(a) Temperature-dependent lattice thermal conductivity

../../_images/fig_kappa_vs_grain_size6318.png

(b) Peierls lattice thermal conductivity w.r.t grain size

Phonon lifetime and scattering rates

../../_images/fig_lifetime6179.png

(a) Phonon lifetime due to phonon-phonon scattering

../../_images/fig_scat_rates6178.png

(b) Phonon scattering rates

Cumulative and spectral thermal conductivity

../../_images/fig_cumu_frequency6179.png

(a) Spectral and cumulative thermal conductivity w.r.t frequency

../../_images/fig_cumu_mfp6178.png

(b) Spectral and cumulative thermal conductivity w.r.t MFP

Force constants

../../_images/fig_fc214200.png

(a) Force constants w.r.t atomic distance

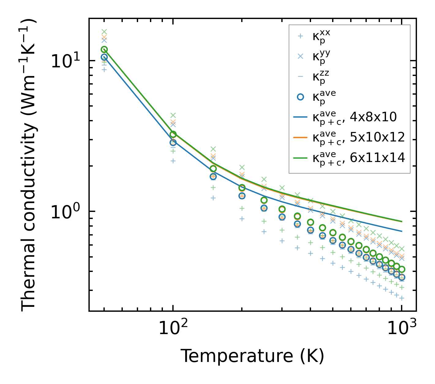
Summary

../../_images/fig_kappa11742.png

(a) Temperature-dependent lattice thermal conductivity

../../_images/fig_times24274.png

(b) Computation time