mp-15790/LiHoS2/anharm

Harmonic properties

../../_images/fig_bandos_pr14337.png

(a) Phonon dispersion with participation ratio and DOS

../../_images/fig_thermo14337.png

(b) Thermodynamic properties

Grüneisen parameters

../../_images/fig_gru_all6111.png

(a) Grüneisen parameters

../../_images/fig_gruneisen6111.png

(b) Phonon dispersion with Grüneisen parameters

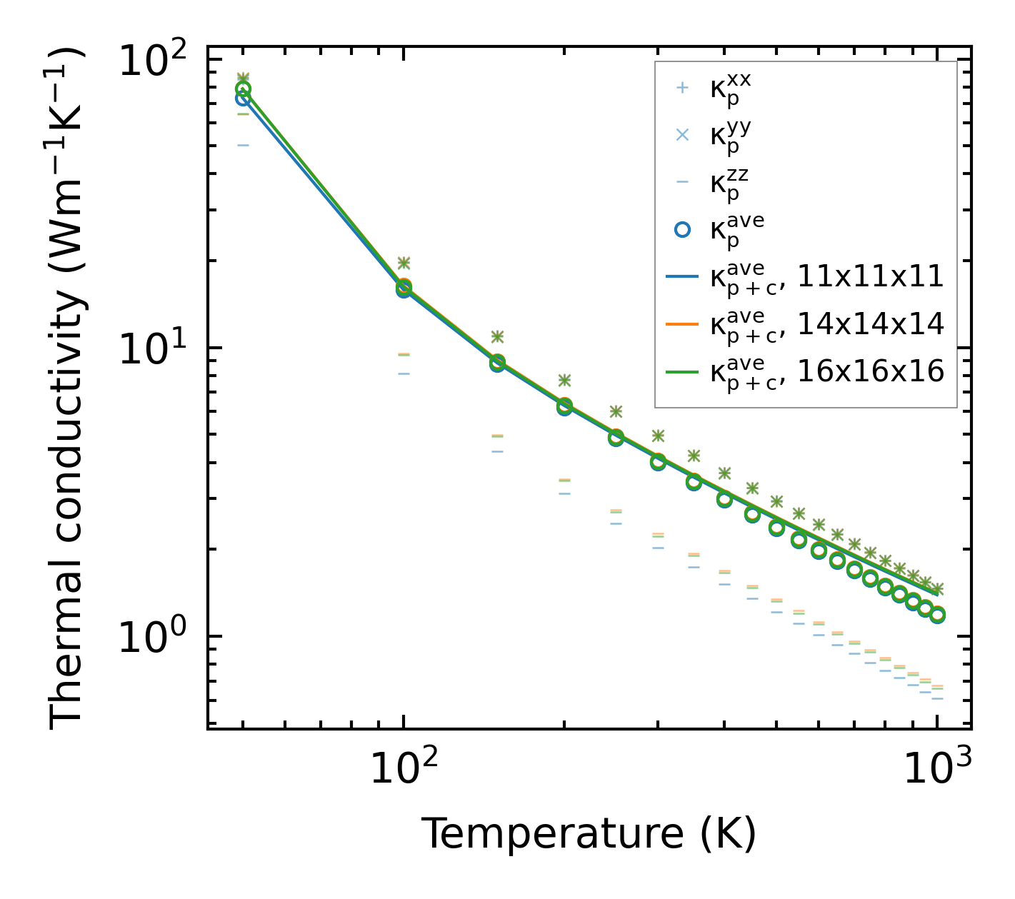
Thermal conductivity

3-phonon (LASSO) — q-mesh: 16x16x16, supercell: 3x3x1

../../_images/fig_kappa11494.png

(a) Temperature-dependent lattice thermal conductivity

../../_images/fig_kappa_vs_grain_size6189.png

(b) Peierls lattice thermal conductivity w.r.t grain size

Phonon lifetime and scattering rates

../../_images/fig_lifetime6050.png

(a) Phonon lifetime due to phonon-phonon scattering

../../_images/fig_scat_rates6049.png

(b) Phonon scattering rates

Cumulative and spectral thermal conductivity

../../_images/fig_cumu_frequency6050.png

(a) Spectral and cumulative thermal conductivity w.r.t frequency

../../_images/fig_cumu_mfp6049.png

(b) Spectral and cumulative thermal conductivity w.r.t MFP

Force constants

../../_images/fig_fc213964.png

(a) Force constants w.r.t atomic distance

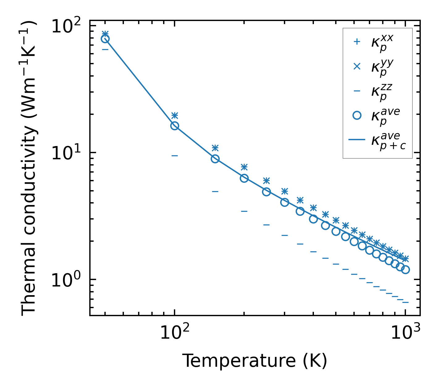
Summary

../../_images/fig_kappa11495.png

(a) Temperature-dependent lattice thermal conductivity

../../_images/fig_times23928.png

(b) Computation time