mp-15803/Y2MgSe4/anharm

Harmonic properties

../../_images/fig_bandos_pr14345.png

(a) Phonon dispersion with participation ratio and DOS

../../_images/fig_thermo14345.png

(b) Thermodynamic properties

Grüneisen parameters

../../_images/fig_gru_all6119.png

(a) Grüneisen parameters

../../_images/fig_gruneisen6119.png

(b) Phonon dispersion with Grüneisen parameters

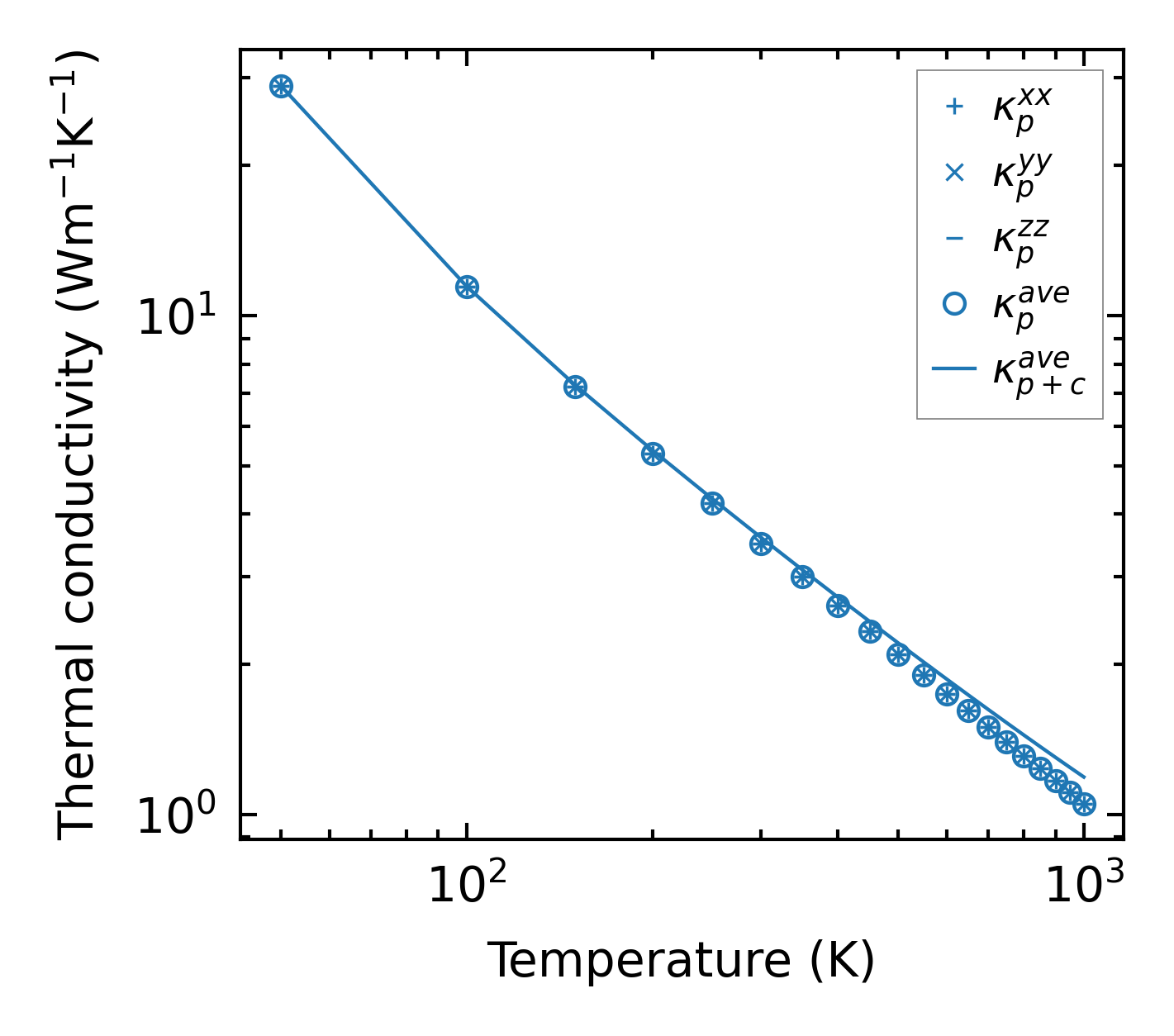
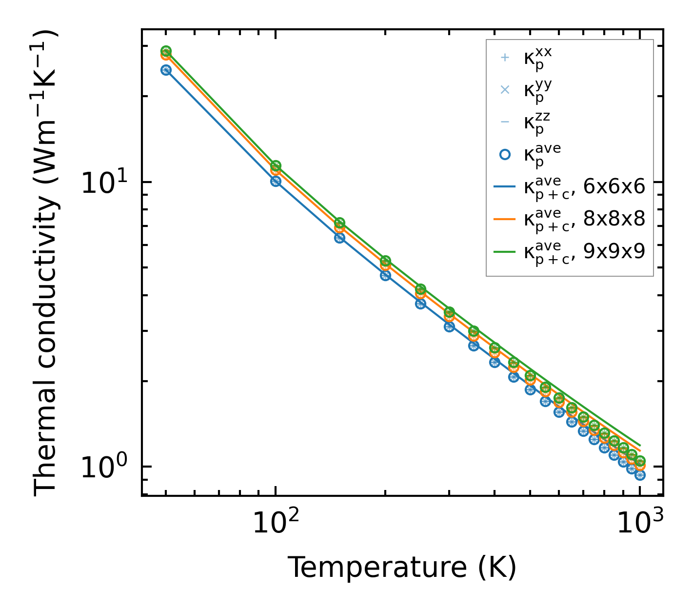
Thermal conductivity

3-phonon — q-mesh: 9x9x9, supercell: 1x1x1

../../_images/fig_kappa11510.png

(a) Temperature-dependent lattice thermal conductivity

../../_images/fig_kappa_vs_grain_size6197.png

(b) Peierls lattice thermal conductivity w.r.t grain size

Phonon lifetime and scattering rates

../../_images/fig_lifetime6058.png

(a) Phonon lifetime due to phonon-phonon scattering

../../_images/fig_scat_rates6057.png

(b) Phonon scattering rates

Cumulative and spectral thermal conductivity

../../_images/fig_cumu_frequency6058.png

(a) Spectral and cumulative thermal conductivity w.r.t frequency

../../_images/fig_cumu_mfp6057.png

(b) Spectral and cumulative thermal conductivity w.r.t MFP

Force constants

../../_images/fig_fc3375.png

(a) Force constants w.r.t atomic distance

Summary

../../_images/fig_kappa11511.png

(a) Temperature-dependent lattice thermal conductivity

../../_images/fig_times23936.png

(b) Computation time