mp-15724/KNa2Sb/anharm

Harmonic properties

../../_images/fig_bandos_pr14317.png

(a) Phonon dispersion with participation ratio and DOS

../../_images/fig_thermo14317.png

(b) Thermodynamic properties

Grüneisen parameters

../../_images/fig_gru_all6100.png

(a) Grüneisen parameters

../../_images/fig_gruneisen6100.png

(b) Phonon dispersion with Grüneisen parameters

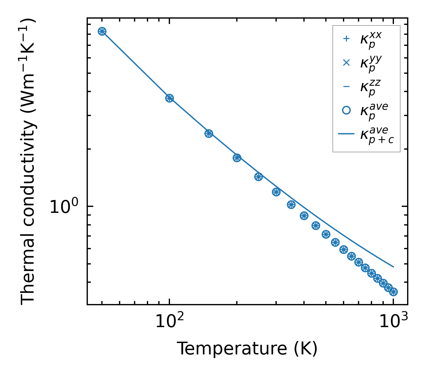
Thermal conductivity

3-phonon — q-mesh: 14x14x14, supercell: 2x2x2

../../_images/fig_kappa11472.png

(a) Temperature-dependent lattice thermal conductivity

../../_images/fig_kappa_vs_grain_size6178.png

(b) Peierls lattice thermal conductivity w.r.t grain size

Phonon lifetime and scattering rates

../../_images/fig_lifetime6039.png

(a) Phonon lifetime due to phonon-phonon scattering

../../_images/fig_scat_rates6038.png

(b) Phonon scattering rates

Cumulative and spectral thermal conductivity

../../_images/fig_cumu_frequency6039.png

(a) Spectral and cumulative thermal conductivity w.r.t frequency

../../_images/fig_cumu_mfp6038.png

(b) Spectral and cumulative thermal conductivity w.r.t MFP

Force constants

../../_images/fig_fc3373.png

(a) Force constants w.r.t atomic distance

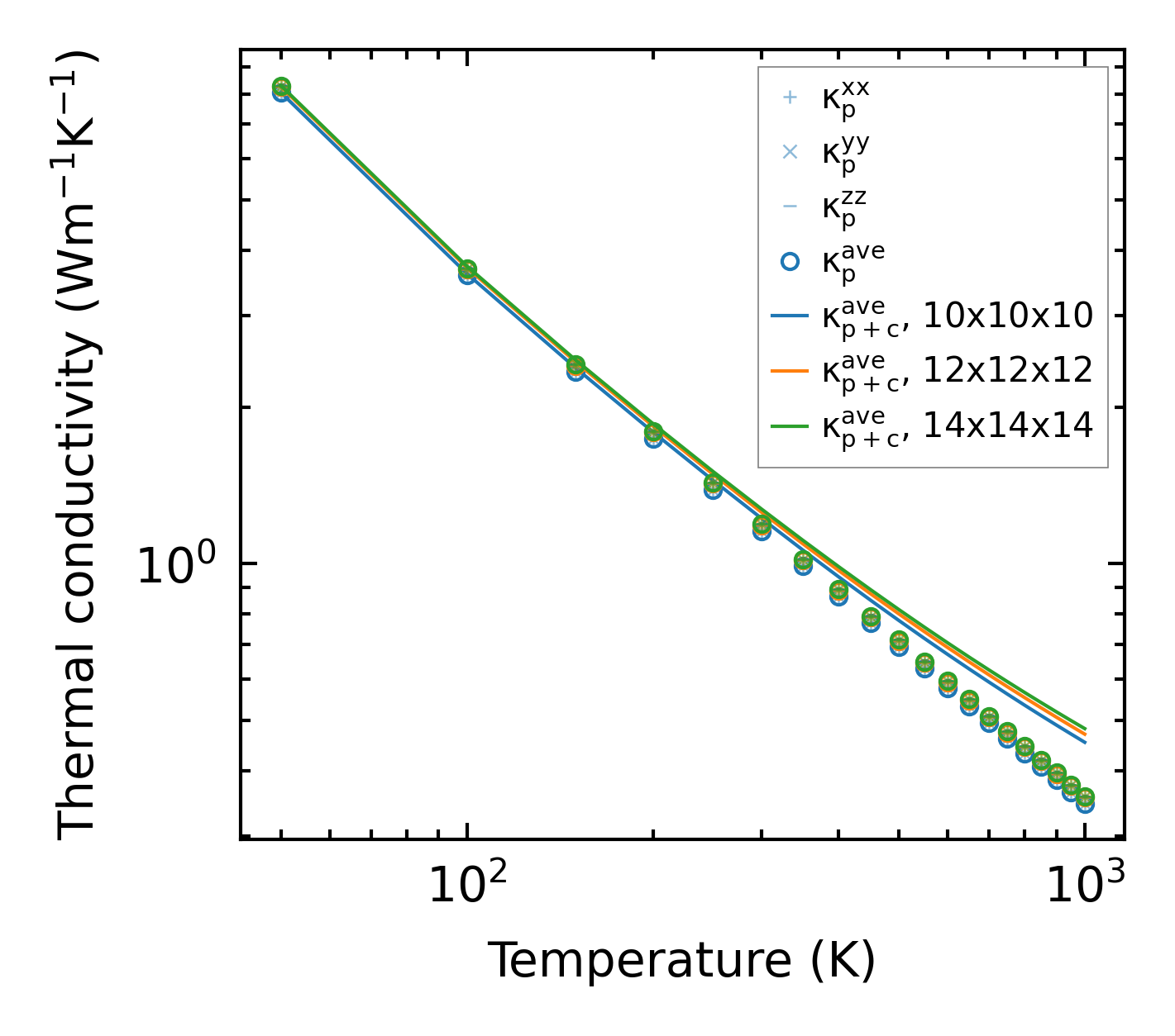
Summary

../../_images/fig_kappa11473.png

(a) Temperature-dependent lattice thermal conductivity

../../_images/fig_times23901.png

(b) Computation time