mp-15649/As2Ir/anharm

Harmonic properties

../../_images/fig_bandos_pr14305.png

(a) Phonon dispersion with participation ratio and DOS

../../_images/fig_thermo14305.png

(b) Thermodynamic properties

Grüneisen parameters

../../_images/fig_gru_all6091.png

(a) Grüneisen parameters

../../_images/fig_gruneisen6091.png

(b) Phonon dispersion with Grüneisen parameters

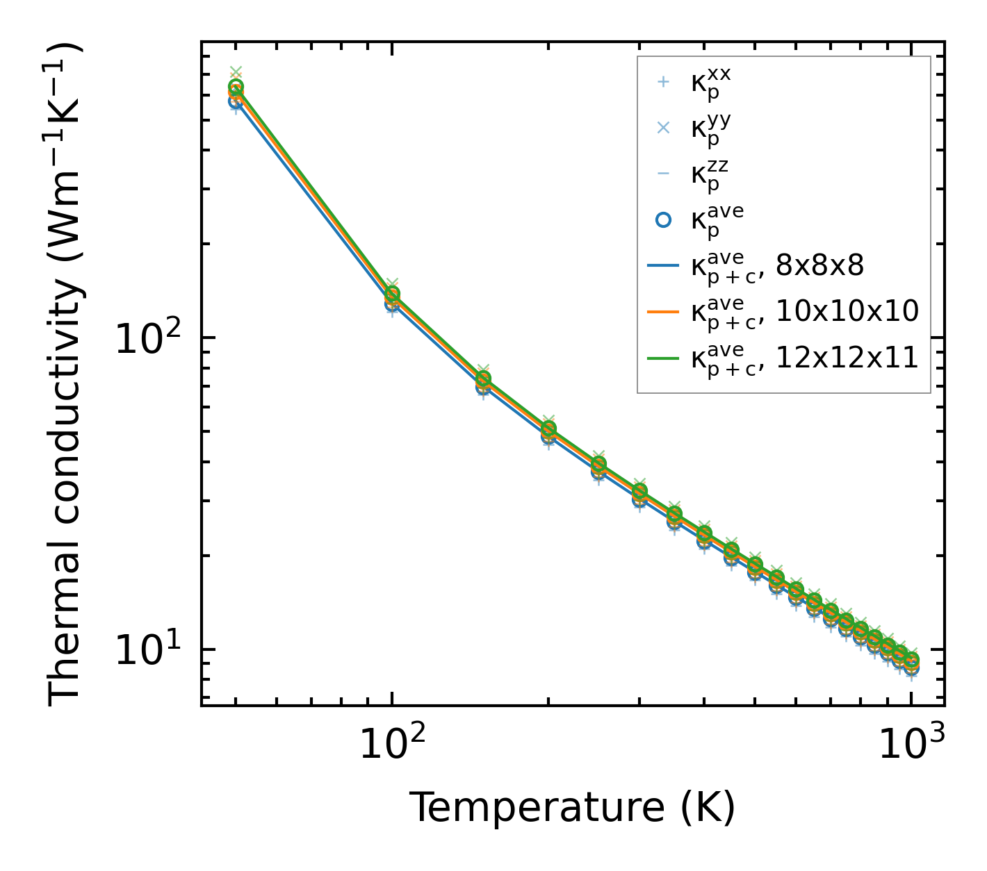
Thermal conductivity

3-phonon (LASSO) — q-mesh: 12x12x11, supercell: 3x2x2

../../_images/fig_kappa11457.png

(a) Temperature-dependent lattice thermal conductivity

../../_images/fig_kappa_vs_grain_size6169.png

(b) Peierls lattice thermal conductivity w.r.t grain size

Phonon lifetime and scattering rates

../../_images/fig_lifetime6030.png

(a) Phonon lifetime due to phonon-phonon scattering

../../_images/fig_scat_rates6029.png

(b) Phonon scattering rates

Cumulative and spectral thermal conductivity

../../_images/fig_cumu_frequency6030.png

(a) Spectral and cumulative thermal conductivity w.r.t frequency

../../_images/fig_cumu_mfp6029.png

(b) Spectral and cumulative thermal conductivity w.r.t MFP

Force constants

../../_images/fig_fc213933.png

(a) Force constants w.r.t atomic distance

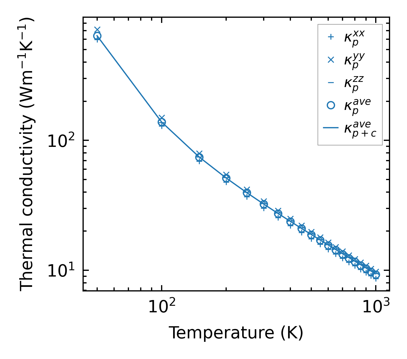
Summary

../../_images/fig_kappa11458.png

(a) Temperature-dependent lattice thermal conductivity

../../_images/fig_times23887.png

(b) Computation time