mp-15702-2/MgCN2/anharm

Equation of state

../../_images/fig_bm7170.png

(a) Equation of state

Harmonic properties

../../_images/fig_bandos_pr14313.png

(a) Phonon dispersion with participation ratio and DOS

../../_images/fig_bandos18712.png

(b) Phonon dispersion and DOS

../../_images/fig_thermo14313.png

(c) Thermodynamic properties

Grüneisen parameters

../../_images/fig_gru_all6097.png

(a) Grüneisen parameters

../../_images/fig_gruneisen6097.png

(b) Phonon dispersion with Grüneisen parameters

Thermal conductivity

3-phonon (LASSO), supercell 3x3x2 — q-mesh: 18x18x18, supercell: 3x3x2

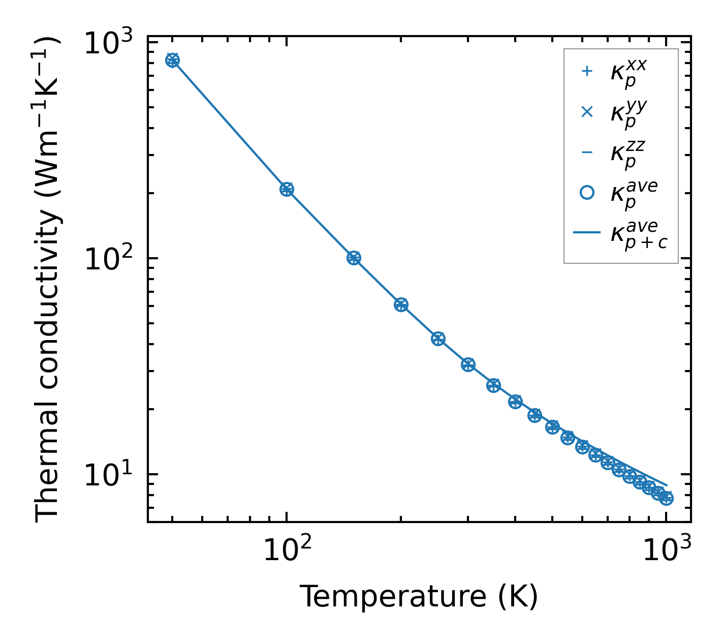
../../_images/fig_kappa11468.png

(a) Temperature-dependent lattice thermal conductivity

../../_images/fig_kappa_vs_grain_size6175.png

(b) Peierls lattice thermal conductivity w.r.t grain size

Phonon lifetime and scattering rates

../../_images/fig_lifetime6036.png

(a) Phonon lifetime due to phonon-phonon scattering

../../_images/fig_scat_rates6035.png

(b) Phonon scattering rates

Cumulative and spectral thermal conductivity

../../_images/fig_cumu_frequency6036.png

(a) Spectral and cumulative thermal conductivity w.r.t frequency

../../_images/fig_cumu_mfp6035.png

(b) Spectral and cumulative thermal conductivity w.r.t MFP

Force constants

../../_images/fig_fc213941.png

(a) Force constants w.r.t atomic distance

Summary

../../_images/fig_times23897.png

(a) Computation time